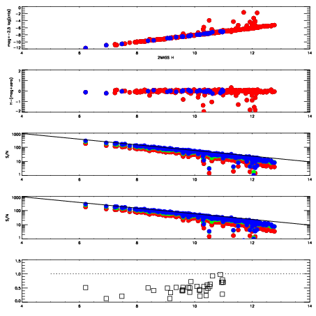
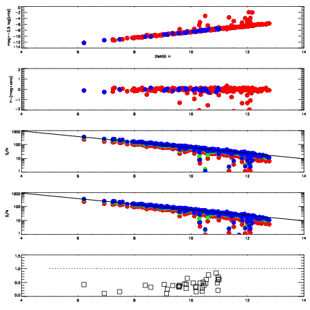
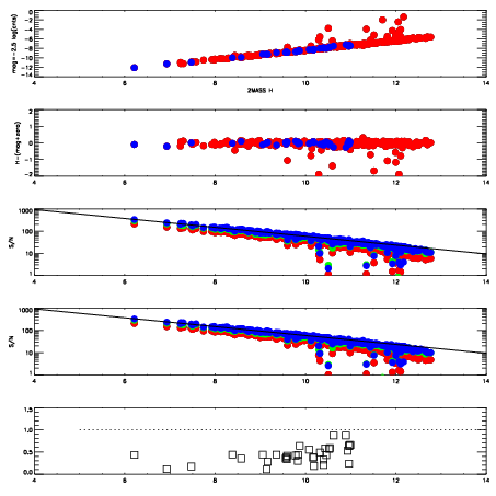
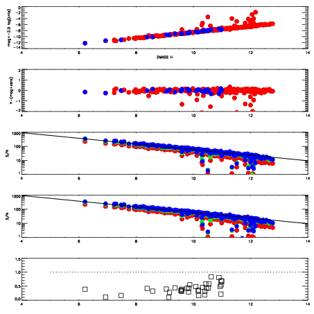
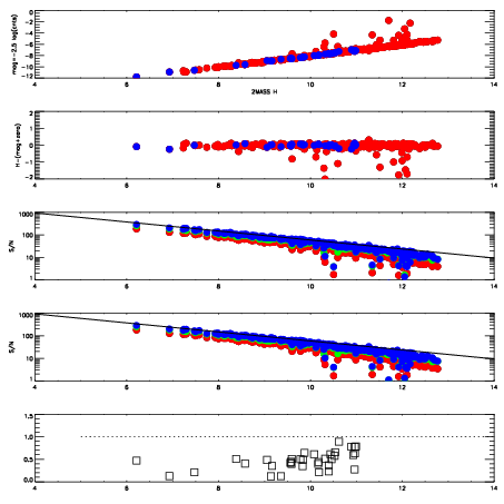
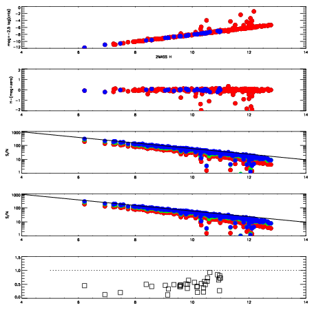
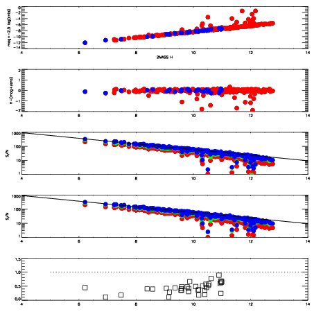
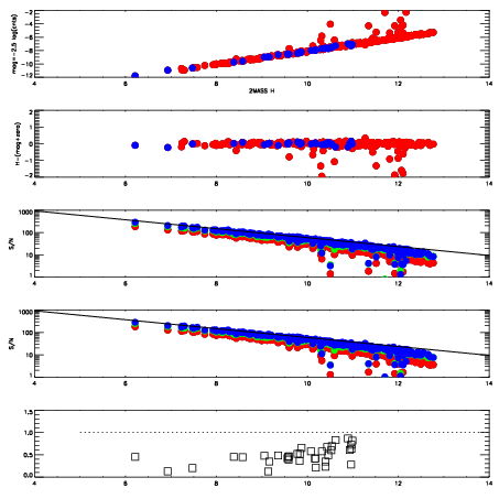
| Frame | Nreads | Zeropoints | Mag plots
| Spatial mag deviation
| Spatial sky 16325A emission deviations (filled: sky, open: star)
| Spatial sky continuum emission
| Spatial sky telluric CO2 absorption deviations (filled: H < 10)
|
| 8700022
| 47
| | Red | Green | Blue
| | z | | 18.57
| | znorm | | 14.39
| | sky | 14.6 | 14.2 | 14.3
| | S/N | 11.5 | 19.4 | 20.6
| | S/N(c) | 10.1 | 18.1 | 19.8
| | SN(E/C) | 0.39
|
|
|
|
|
|
|
| 8700023
| 47
| | Red | Green | Blue
| | z | | 18.54
| | znorm | | 14.36
| | sky | 14.6 | 14.4 | 14.7
| | S/N | 11.2 | 19.4 | 20.8
| | S/N(c) | 9.8 | 17.8 | 19.7
| | SN(E/C) | 0.40
|
|
|
|
|
|
|
| 8700024
| 47
| | Red | Green | Blue
| | z | | 18.08
| | znorm | | 13.90
| | sky | 14.6 | 14.5 | 14.8
| | S/N | 7.9 | 14.5 | 15.2
| | S/N(c) | 7.0 | 13.4 | 14.3
| | SN(E/C) | 0.49
|
|
|
|
|
|
|
| 8700025
| 47
| | Red | Green | Blue
| | z | | 18.08
| | znorm | | 13.90
| | sky | 14.6 | 14.6 | 14.6
| | S/N | 8.0 | 14.7 | 15.3
| | S/N(c) | 7.0 | 13.5 | 14.3
| | SN(E/C) | 0.47
|
|
|
|
|
|
|
| 8700026
| 47
| | Red | Green | Blue
| | z | | 18.36
| | znorm | | 14.18
| | sky | 14.6 | 14.5 | 14.7
| | S/N | 9.9 | 17.5 | 18.3
| | S/N(c) | 8.6 | 15.8 | 17.2
| | SN(E/C) | 0.42
|
|
|
|
|
|
|
| 8700027
| 47
| | Red | Green | Blue
| | z | | 18.07
| | znorm | | 13.89
| | sky | 14.7 | 14.7 | 14.8
| | S/N | 7.7 | 14.5 | 15.0
| | S/N(c) | 6.8 | 13.1 | 14.1
| | SN(E/C) | 0.50
|
|
|
|
|
|
|
| 8700028
| 47
| | Red | Green | Blue
| | z | | 18.09
| | znorm | | 13.91
| | sky | 14.7 | 14.7 | 15.0
| | S/N | 8.2 | 14.9 | 15.5
| | S/N(c) | 7.0 | 13.2 | 14.4
| | SN(E/C) | 0.48
|
|
|
|
|
|
|
| 8700029
| 47
| | Red | Green | Blue
| | z | | 18.38
| | znorm | | 14.20
| | sky | 14.7 | 14.6 | 14.7
| | S/N | 10.1 | 17.9 | 18.7
| | S/N(c) | 8.7 | 16.2 | 17.7
| | SN(E/C) | 0.43
|
|
|
|
|
|
|