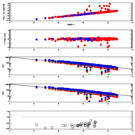
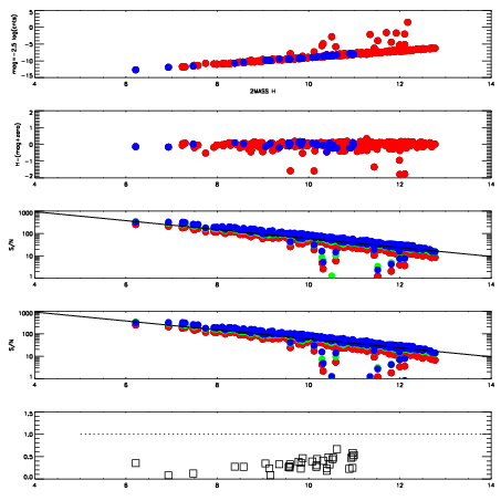
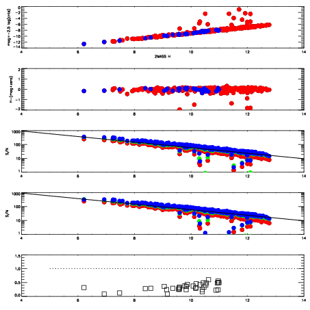
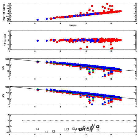
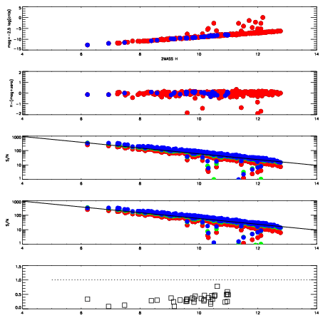
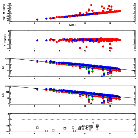
| Frame | Nreads | Zeropoints | Mag plots
| Spatial mag deviation
| Spatial sky 16325A emission deviations (filled: sky, open: star)
| Spatial sky continuum emission
| Spatial sky telluric CO2 absorption deviations (filled: H < 10)
|
| 8760026
| 47
| | Red | Green | Blue
| | z | | 18.97
| | znorm | | 14.79
| | sky | 14.5 | 14.3 | 14.4
| | S/N | 14.7 | 23.5 | 25.6
| | S/N(c) | 13.2 | 22.3 | 24.6
| | SN(E/C) | 0.33
|
|
|
|
|
|
|
| 8760027
| 47
| | Red | Green | Blue
| | z | | 19.00
| | znorm | | 14.82
| | sky | 14.4 | 14.3 | 14.5
| | S/N | 15.1 | 24.3 | 26.0
| | S/N(c) | 13.5 | 22.8 | 25.0
| | SN(E/C) | 0.32
|
|
|
|
|
|
|
| 8760028
| 47
| | Red | Green | Blue
| | z | | 19.00
| | znorm | | 14.82
| | sky | 14.5 | 14.4 | 14.5
| | S/N | 15.1 | 24.4 | 26.1
| | S/N(c) | 13.4 | 23.0 | 25.2
| | SN(E/C) | 0.32
|
|
|
|
|
|
|
| 8760029
| 47
| | Red | Green | Blue
| | z | | 19.00
| | znorm | | 14.82
| | sky | 14.5 | 14.4 | 14.5
| | S/N | 15.2 | 24.9 | 26.4
| | S/N(c) | 13.6 | 23.3 | 25.1
| | SN(E/C) | 0.33
|
|
|
|
|
|
|
| 8760030
| 47
| | Red | Green | Blue
| | z | | 18.98
| | znorm | | 14.80
| | sky | 14.3 | 14.4 | 14.5
| | S/N | 14.9 | 24.3 | 26.1
| | S/N(c) | 13.6 | 22.8 | 24.7
| | SN(E/C) | 0.33
|
|
|
|
|
|
|
| 8760031
| 47
| | Red | Green | Blue
| | z | | 18.97
| | znorm | | 14.79
| | sky | 14.2 | 14.4 | 14.4
| | S/N | 14.8 | 24.7 | 26.3
| | S/N(c) | 13.4 | 23.1 | 25.1
| | SN(E/C) | 0.33
|
|
|
|
|
|
|
| 8760032
| 47
| | Red | Green | Blue
| | z | | 19.01
| | znorm | | 14.83
| | sky | 14.2 | 14.4 | 14.5
| | S/N | 15.4 | 24.6 | 26.5
| | S/N(c) | 13.8 | 23.1 | 25.3
| | SN(E/C) | 0.33
|
|
|
|
|
|
|
| 8760033
| 47
| | Red | Green | Blue
| | z | | 18.95
| | znorm | | 14.77
| | sky | 14.3 | 14.6 | 14.5
| | S/N | 14.6 | 24.1 | 25.8
| | S/N(c) | 13.1 | 22.5 | 24.6
| | SN(E/C) | 0.34
|
|
|
|
|
|
|