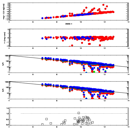
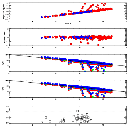
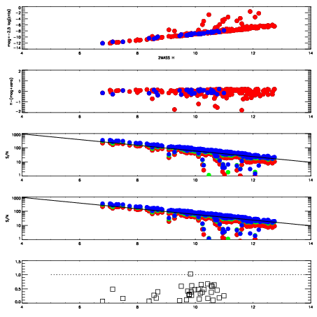
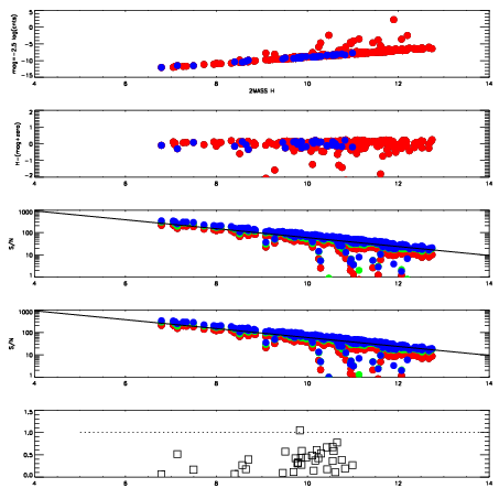
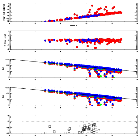
| Frame | Nreads | Zeropoints | Mag plots
| Spatial mag deviation
| Spatial sky 16325A emission deviations (filled: sky, open: star)
| Spatial sky continuum emission
| Spatial sky telluric CO2 absorption deviations (filled: H < 10)
|
| 8450044
| 47
| | Red | Green | Blue
| | z | | 18.78
| | znorm | | 14.60
| | sky | 14.5 | 14.1 | 14.4
| | S/N | 11.9 | 19.5 | 23.8
| | S/N(c) | 10.4 | 17.9 | 22.0
| | SN(E/C) | 0.41
|
|
|
|
|
|
|
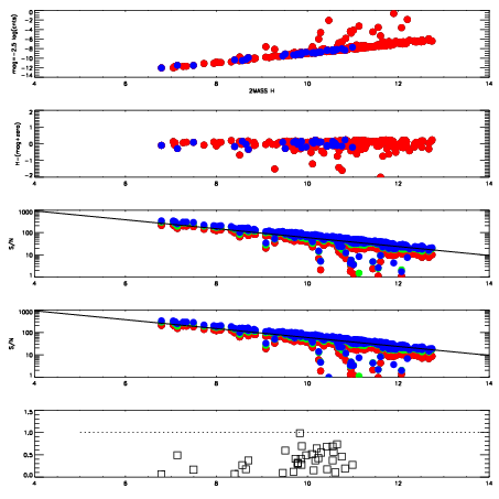
| 8450045
| 47
| | Red | Green | Blue
| | z | | 18.64
| | znorm | | 14.46
| | sky | 14.3 | 14.0 | 14.4
| | S/N | 10.7 | 17.7 | 22.0
| | S/N(c) | 9.4 | 16.2 | 20.3
| | SN(E/C) | 0.41
|
|
|
|
|
|
|
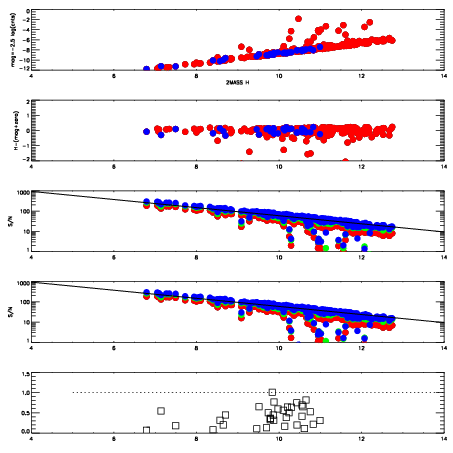
| 8450046
| 47
| | Red | Green | Blue
| | z | | 18.91
| | znorm | | 14.73
| | sky | 14.5 | 14.5 | 14.9
| | S/N | 13.3 | 21.0 | 24.5
| | S/N(c) | 11.7 | 19.6 | 23.0
| | SN(E/C) | 0.37
|
|
|
|
|
|
|
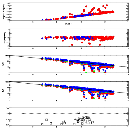
| 8450047
| 47
| | Red | Green | Blue
| | z | | 18.93
| | znorm | | 14.75
| | sky | 14.7 | 14.6 | 14.9
| | S/N | 13.4 | 21.6 | 24.6
| | S/N(c) | 11.7 | 19.8 | 22.7
| | SN(E/C) | 0.37
|
|
|
|
|
|
|
| 8450048
| 47
| | Red | Green | Blue
| | z | | 18.98
| | znorm | | 14.80
| | sky | 14.8 | 14.7 | 14.9
| | S/N | 13.8 | 22.3 | 24.9
| | S/N(c) | 12.1 | 20.6 | 23.2
| | SN(E/C) | 0.36
|
|
|
|
|
|
|
| 8450049
| 47
| | Red | Green | Blue
| | z | | 19.00
| | znorm | | 14.82
| | sky | 15.1 | 14.5 | 15.0
| | S/N | 13.8 | 22.8 | 24.9
| | S/N(c) | 12.2 | 20.9 | 23.1
| | SN(E/C) | 0.34
|
|
|
|
|
|
|
| 8450050
| 47
| | Red | Green | Blue
| | z | | 19.01
| | znorm | | 14.83
| | sky | 15.0 | 14.8 | 15.0
| | S/N | 14.0 | 22.8 | 24.7
| | S/N(c) | 12.4 | 20.7 | 23.1
| | SN(E/C) | 0.38
|
|
|
|
|
|
|
| 8450051
| 47
| | Red | Green | Blue
| | z | | 18.90
| | znorm | | 14.72
| | sky | 14.9 | 14.8 | 15.1
| | S/N | 13.3 | 21.7 | 23.6
| | S/N(c) | 11.7 | 19.8 | 21.9
| | SN(E/C) | 0.36
|
|
|
|
|
|
|