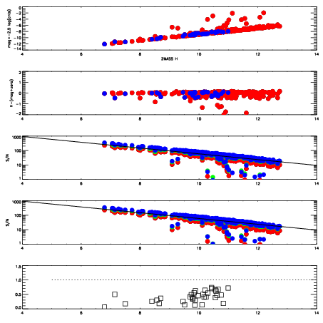
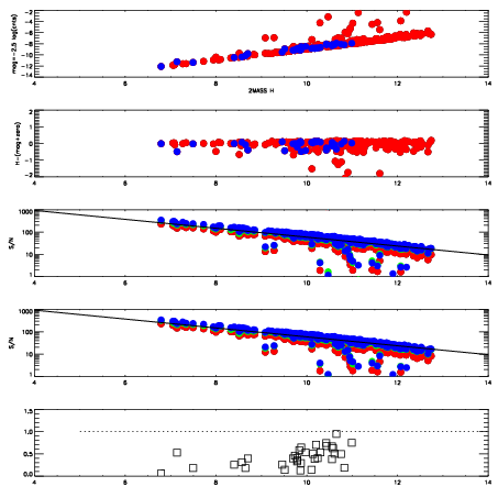
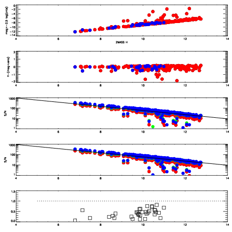
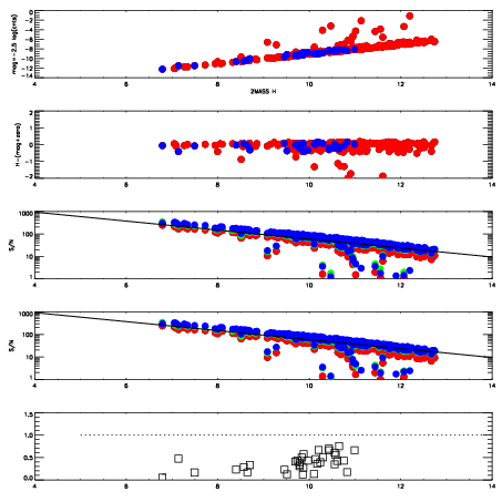
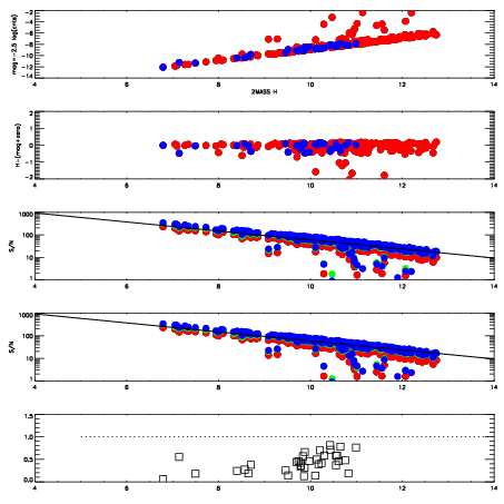
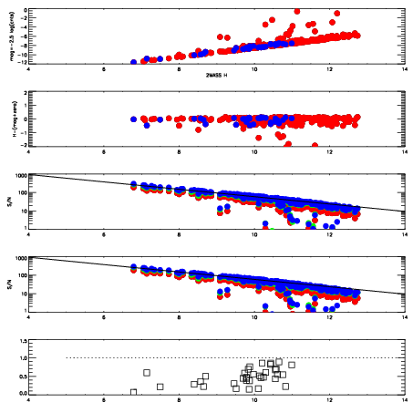
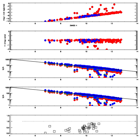
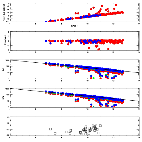
| Frame | Nreads | Zeropoints | Mag plots
| Spatial mag deviation
| Spatial sky 16325A emission deviations (filled: sky, open: star)
| Spatial sky continuum emission
| Spatial sky telluric CO2 absorption deviations (filled: H < 10)
|
| 8730011
| 47
| | Red | Green | Blue
| | z | | 18.93
| | znorm | | 14.74
| | sky | 14.3 | 14.2 | 14.1
| | S/N | 12.8 | 20.6 | 21.9
| | S/N(c) | 11.5 | 19.5 | 20.9
| | SN(E/C) | 0.43
|
|
|
|
|
|
|
| 8730012
| 47
| | Red | Green | Blue
| | z | | 18.86
| | znorm | | 14.68
| | sky | 14.3 | 14.4 | 14.5
| | S/N | 12.4 | 20.2 | 21.6
| | S/N(c) | 10.9 | 18.6 | 20.4
| | SN(E/C) | 0.42
|
|
|
|
|
|
|
| 8730013
| 47
| | Red | Green | Blue
| | z | | 18.87
| | znorm | | 14.69
| | sky | 14.3 | 14.3 | 14.6
| | S/N | 12.0 | 20.2 | 21.7
| | S/N(c) | 10.8 | 18.4 | 20.5
| | SN(E/C) | 0.40
|
|
|
|
|
|
|
| 8730014
| 47
| | Red | Green | Blue
| | z | | 18.67
| | znorm | | 14.49
| | sky | 14.2 | 14.2 | 14.3
| | S/N | 10.8 | 17.7 | 19.0
| | S/N(c) | 9.6 | 16.1 | 18.0
| | SN(E/C) | 0.46
|
|
|
|
|
|
|
| 8730015
| 47
| | Red | Green | Blue
| | z | | 18.63
| | znorm | | 14.45
| | sky | 14.0 | 14.1 | 14.2
| | S/N | 10.3 | 17.3 | 18.6
| | S/N(c) | 8.8 | 15.9 | 17.5
| | SN(E/C) | 0.46
|
|
|
|
|
|
|
| 8730016
| 47
| | Red | Green | Blue
| | z | | 18.46
| | znorm | | 14.28
| | sky | 13.9 | 13.9 | 14.2
| | S/N | 9.0 | 14.9 | 16.4
| | S/N(c) | 7.9 | 13.5 | 15.3
| | SN(E/C) | 0.48
|
|
|
|
|
|
|
| 8730017
| 47
| | Red | Green | Blue
| | z | | 18.91
| | znorm | | 14.73
| | sky | 14.4 | 14.4 | 14.6
| | S/N | 12.8 | 20.1 | 21.4
| | S/N(c) | 11.1 | 18.4 | 20.2
| | SN(E/C) | 0.41
|
|
|
|
|
|
|
| 8730018
| 47
| | Red | Green | Blue
| | z | | 19.05
| | znorm | | 14.87
| | sky | 14.6 | 14.6 | 14.7
| | S/N | 14.0 | 22.3 | 23.3
| | S/N(c) | 12.1 | 20.7 | 22.0
| | SN(E/C) | 0.39
|
|
|
|
|
|
|