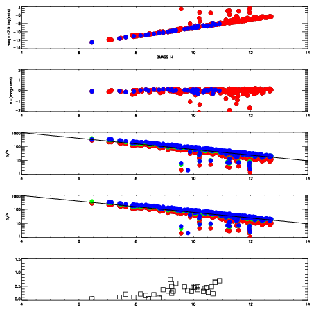
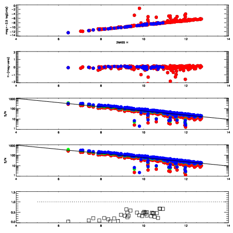
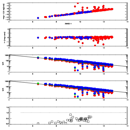
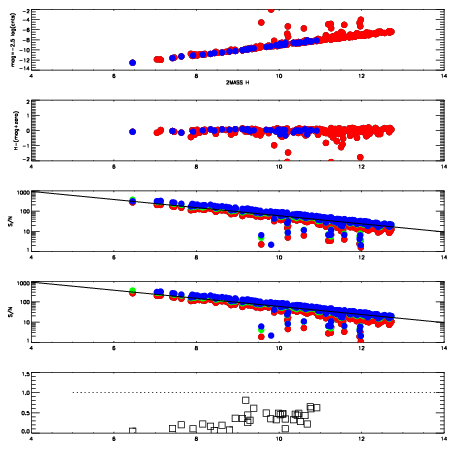
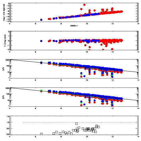
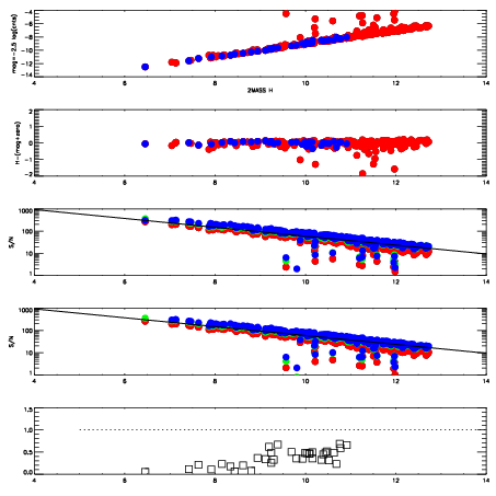
| Frame | Nreads | Zeropoints | Mag plots
| Spatial mag deviation
| Spatial sky 16325A emission deviations (filled: sky, open: star)
| Spatial sky continuum emission
| Spatial sky telluric CO2 absorption deviations (filled: H < 10)
|
| 8700011
| 47
| | Red | Green | Blue
| | z | | 18.98
| | znorm | | 14.80
| | sky | 14.3 | 14.3 | 14.1
| | S/N | 15.2 | 25.3 | 25.9
| | S/N(c) | 13.9 | 23.7 | 24.6
| | SN(E/C) | 0.37
|
|
|
|
|
|
|
| 8700012
| 47
| | Red | Green | Blue
| | z | | 19.00
| | znorm | | 14.82
| | sky | 14.6 | 14.4 | 14.4
| | S/N | 15.6 | 25.3 | 26.3
| | S/N(c) | 13.8 | 23.7 | 24.8
| | SN(E/C) | 0.36
|
|
|
|
|
|
|
| 8700013
| 47
| | Red | Green | Blue
| | z | | 19.01
| | znorm | | 14.83
| | sky | 14.4 | 14.5 | 14.5
| | S/N | 15.4 | 25.5 | 26.4
| | S/N(c) | 13.9 | 23.9 | 24.7
| | SN(E/C) | 0.36
|
|
|
|
|
|
|
| 8700014
| 47
| | Red | Green | Blue
| | z | | 18.99
| | znorm | | 14.81
| | sky | 14.6 | 14.4 | 14.5
| | S/N | 15.2 | 25.2 | 25.9
| | S/N(c) | 13.5 | 23.4 | 24.2
| | SN(E/C) | 0.36
|
|
|
|
|
|
|
| 8700015
| 47
| | Red | Green | Blue
| | z | | 19.06
| | znorm | | 14.88
| | sky | 14.7 | 14.5 | 14.5
| | S/N | 15.6 | 25.7 | 26.8
| | S/N(c) | 13.9 | 23.9 | 25.2
| | SN(E/C) | 0.35
|
|
|
|
|
|
|
| 8700016
| 47
| | Red | Green | Blue
| | z | | 19.03
| | znorm | | 14.85
| | sky | 14.5 | 14.5 | 14.4
| | S/N | 15.3 | 25.3 | 26.2
| | S/N(c) | 13.8 | 23.6 | 24.6
| | SN(E/C) | 0.38
|
|
|
|
|
|
|
| 8700017
| 47
| | Red | Green | Blue
| | z | | 19.03
| | znorm | | 14.85
| | sky | 14.6 | 14.5 | 14.4
| | S/N | 15.3 | 25.1 | 26.2
| | S/N(c) | 13.7 | 23.2 | 24.6
| | SN(E/C) | 0.37
|
|
|
|
|
|
|
| 8700018
| 47
| | Red | Green | Blue
| | z | | 19.01
| | znorm | | 14.83
| | sky | 14.6 | 14.4 | 14.3
| | S/N | 15.1 | 25.0 | 25.7
| | S/N(c) | 13.5 | 23.0 | 24.1
| | SN(E/C) | 0.36
|
|
|
|
|
|
|