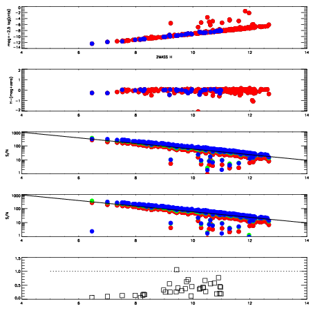
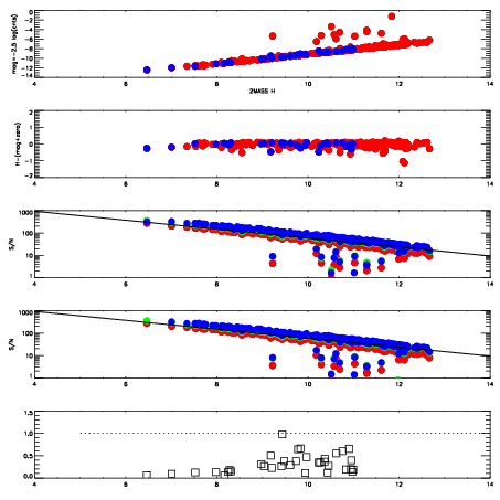
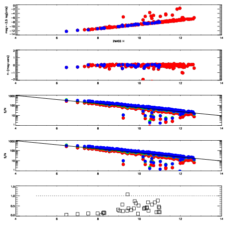
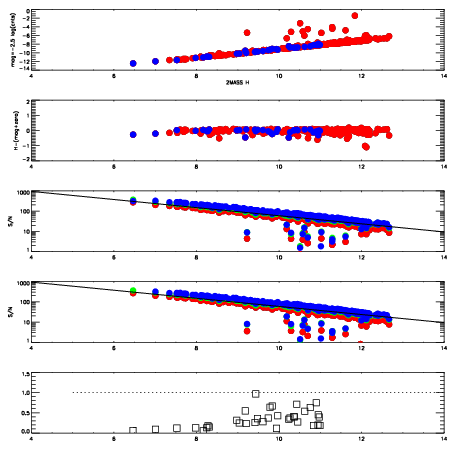
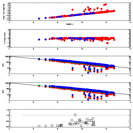
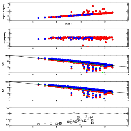
| Frame | Nreads | Zeropoints | Mag plots
| Spatial mag deviation
| Spatial sky 16325A emission deviations (filled: sky, open: star)
| Spatial sky continuum emission
| Spatial sky telluric CO2 absorption deviations (filled: H < 10)
|
| 8160010
| 47
| | Red | Green | Blue
| | z | | 19.14
| | znorm | | 14.96
| | sky | 14.4 | 14.2 | 14.1
| | S/N | 16.1 | 24.9 | 26.6
| | S/N(c) | 14.1 | 23.1 | 25.4
| | SN(E/C) | 0.31
|
|
|
|
|
|
|
| 8160011
| 47
| | Red | Green | Blue
| | z | | 19.16
| | znorm | | 14.98
| | sky | 14.5 | 14.4 | 14.5
| | S/N | 16.0 | 24.6 | 26.5
| | S/N(c) | 14.5 | 22.8 | 25.4
| | SN(E/C) | 0.27
|
|
|
|
|
|
|
| 8160012
| 47
| | Red | Green | Blue
| | z | | 19.16
| | znorm | | 14.98
| | sky | 14.4 | 14.5 | 14.4
| | S/N | 15.9 | 24.2 | 25.9
| | S/N(c) | 14.2 | 22.7 | 25.1
| | SN(E/C) | 0.32
|
|
|
|
|
|
|
| 8160013
| 47
| | Red | Green | Blue
| | z | | 19.16
| | znorm | | 14.98
| | sky | 14.5 | 14.4 | 14.5
| | S/N | 15.9 | 23.9 | 25.6
| | S/N(c) | 14.3 | 22.6 | 24.8
| | SN(E/C) | 0.29
|
|
|
|
|
|
|
| 8160014
| 47
| | Red | Green | Blue
| | z | | 19.15
| | znorm | | 14.96
| | sky | 14.3 | 14.5 | 14.5
| | S/N | 15.5 | 23.7 | 25.3
| | S/N(c) | 13.7 | 22.3 | 24.5
| | SN(E/C) | 0.29
|
|
|
|
|
|
|
| 8160015
| 47
| | Red | Green | Blue
| | z | | 19.10
| | znorm | | 14.92
| | sky | 14.6 | 14.4 | 14.4
| | S/N | 14.9 | 22.9 | 24.2
| | S/N(c) | 13.2 | 21.3 | 23.2
| | SN(E/C) | 0.33
|
|
|
|
|
|
|
| 8160016
| 47
| | Red | Green | Blue
| | z | | 19.08
| | znorm | | 14.90
| | sky | 14.5 | 14.4 | 14.4
| | S/N | 14.7 | 23.0 | 24.0
| | S/N(c) | 13.0 | 21.5 | 23.2
| | SN(E/C) | 0.31
|
|
|
|
|
|
|
| 8160017
| 47
| | Red | Green | Blue
| | z | | 19.08
| | znorm | | 14.90
| | sky | 14.3 | 14.5 | 14.5
| | S/N | 14.7 | 23.1 | 24.3
| | S/N(c) | 12.9 | 21.5 | 23.3
| | SN(E/C) | 0.31
|
|
|
|
|
|
|