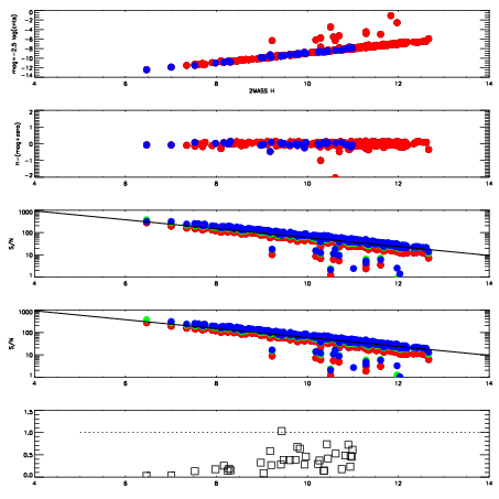
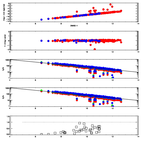
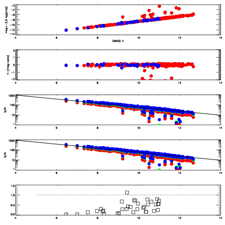
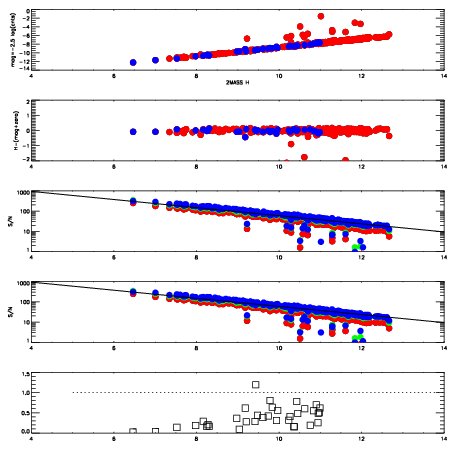
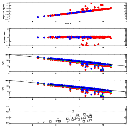
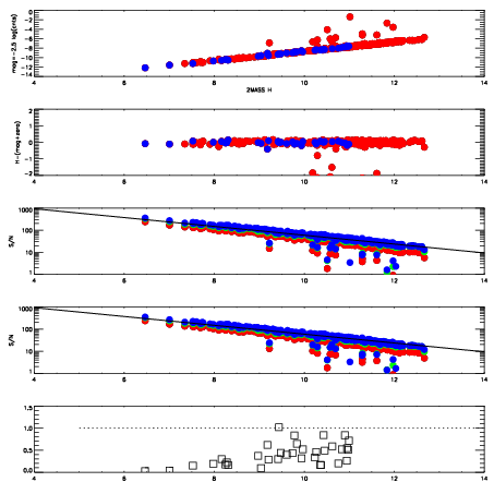
| Frame | Nreads | Zeropoints | Mag plots
| Spatial mag deviation
| Spatial sky 16325A emission deviations (filled: sky, open: star)
| Spatial sky continuum emission
| Spatial sky telluric CO2 absorption deviations (filled: H < 10)
|
| 8400011
| 47
| | Red | Green | Blue
| | z | | 18.84
| | znorm | | 14.66
| | sky | 14.4 | 14.0 | 13.9
| | S/N | 13.2 | 21.6 | 21.8
| | S/N(c) | 11.2 | 19.7 | 20.7
| | SN(E/C) | 0.36
|
|
|
|
|
|
|
| 8400012
| 47
| | Red | Green | Blue
| | z | | 18.94
| | znorm | | 14.76
| | sky | 14.5 | 14.2 | 14.2
| | S/N | 13.7 | 22.1 | 22.9
| | S/N(c) | 11.8 | 20.3 | 21.4
| | SN(E/C) | 0.32
|
|
|
|
|
|
|
| 8400013
| 47
| | Red | Green | Blue
| | z | | 18.77
| | znorm | | 14.59
| | sky | 14.7 | 14.3 | 14.3
| | S/N | 12.1 | 20.4 | 20.7
| | S/N(c) | 10.3 | 18.5 | 19.2
| | SN(E/C) | 0.36
|
|
|
|
|
|
|
| 8400014
| 47
| | Red | Green | Blue
| | z | | 18.72
| | znorm | | 14.54
| | sky | 14.4 | 14.4 | 14.3
| | S/N | 11.9 | 20.1 | 20.4
| | S/N(c) | 10.4 | 17.9 | 19.1
| | SN(E/C) | 0.35
|
|
|
|
|
|
|
| 8400015
| 47
| | Red | Green | Blue
| | z | | 18.69
| | znorm | | 14.51
| | sky | 14.4 | 14.4 | 14.6
| | S/N | 11.3 | 19.5 | 20.1
| | S/N(c) | 10.0 | 17.6 | 18.5
| | SN(E/C) | 0.37
|
|
|
|
|
|
|
| 8400016
| 47
| | Red | Green | Blue
| | z | | 18.57
| | znorm | | 14.39
| | sky | 14.7 | 14.7 | 14.6
| | S/N | 10.4 | 18.5 | 18.9
| | S/N(c) | 9.1 | 16.5 | 17.6
| | SN(E/C) | 0.40
|
|
|
|
|
|
|
| 8400017
| 47
| | Red | Green | Blue
| | z | | 18.65
| | znorm | | 14.47
| | sky | 14.9 | 14.6 | 14.7
| | S/N | 11.2 | 19.1 | 19.5
| | S/N(c) | 9.6 | 17.4 | 18.1
| | SN(E/C) | 0.31
|
|
|
|
|
|
|
| 8400018
| 47
| | Red | Green | Blue
| | z | | 18.86
| | znorm | | 14.68
| | sky | 14.7 | 14.5 | 14.7
| | S/N | 12.8 | 21.9 | 22.7
| | S/N(c) | 11.3 | 19.6 | 21.1
| | SN(E/C) | 0.33
|
|
|
|
|
|
|