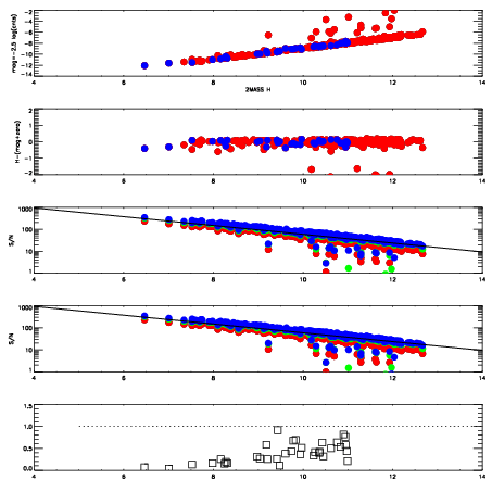
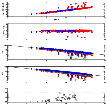
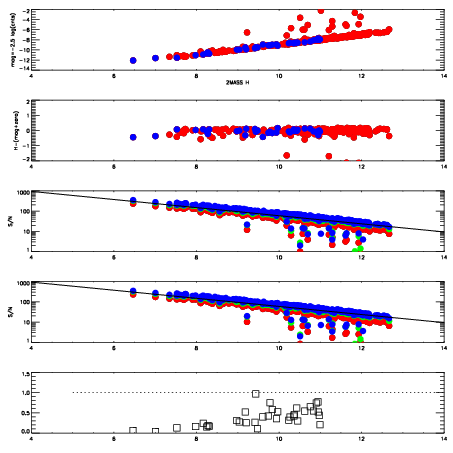
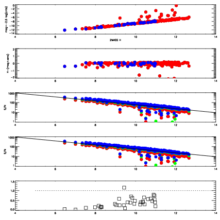
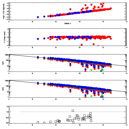
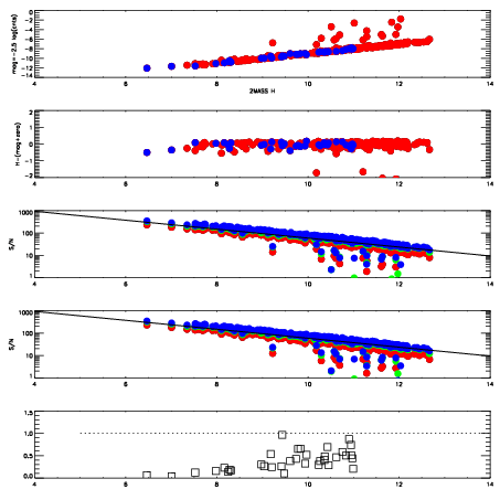
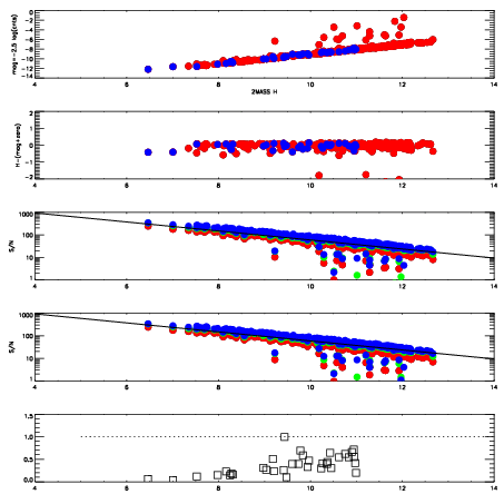
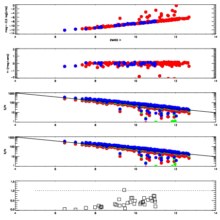
| Frame | Nreads | Zeropoints | Mag plots
| Spatial mag deviation
| Spatial sky 16325A emission deviations (filled: sky, open: star)
| Spatial sky continuum emission
| Spatial sky telluric CO2 absorption deviations (filled: H < 10)
|
| 8450029
| 47
| | Red | Green | Blue
| | z | | 18.91
| | znorm | | 14.73
| | sky | 14.7 | 14.7 | 14.6
| | S/N | 13.7 | 23.0 | 23.8
| | S/N(c) | 12.3 | 20.9 | 22.4
| | SN(E/C) | 0.40
|
|
|
|
|
|
|
| 8450030
| 47
| | Red | Green | Blue
| | z | | 18.87
| | znorm | | 14.69
| | sky | 14.7 | 14.6 | 14.8
| | S/N | 13.1 | 22.6 | 23.2
| | S/N(c) | 11.6 | 20.5 | 21.8
| | SN(E/C) | 0.42
|
|
|
|
|
|
|
| 8450031
| 47
| | Red | Green | Blue
| | z | | 18.93
| | znorm | | 14.75
| | sky | 14.7 | 14.5 | 14.7
| | S/N | 13.3 | 23.1 | 23.8
| | S/N(c) | 12.1 | 21.0 | 22.4
| | SN(E/C) | 0.37
|
|
|
|
|
|
|
| 8450032
| 47
| | Red | Green | Blue
| | z | | 18.99
| | znorm | | 14.81
| | sky | 14.8 | 14.5 | 14.7
| | S/N | 13.8 | 24.1 | 24.9
| | S/N(c) | 12.5 | 22.0 | 23.3
| | SN(E/C) | 0.39
|
|
|
|
|
|
|
| 8450033
| 47
| | Red | Green | Blue
| | z | | 19.05
| | znorm | | 14.87
| | sky | 14.6 | 14.7 | 14.7
| | S/N | 13.8 | 24.7 | 25.7
| | S/N(c) | 12.5 | 22.7 | 24.0
| | SN(E/C) | 0.39
|
|
|
|
|
|
|
| 8450034
| 47
| | Red | Green | Blue
| | z | | 19.01
| | znorm | | 14.83
| | sky | 14.6 | 14.5 | 14.6
| | S/N | 13.9 | 24.5 | 25.1
| | S/N(c) | 12.5 | 22.3 | 23.4
| | SN(E/C) | 0.38
|
|
|
|
|
|
|
| 8450035
| 47
| | Red | Green | Blue
| | z | | 18.97
| | znorm | | 14.79
| | sky | 14.3 | 14.4 | 14.5
| | S/N | 13.8 | 23.5 | 24.1
| | S/N(c) | 12.5 | 21.1 | 22.5
| | SN(E/C) | 0.40
|
|
|
|
|
|
|
| 8450036
| 47
| | Red | Green | Blue
| | z | | 19.03
| | znorm | | 14.85
| | sky | 14.6 | 14.5 | 14.7
| | S/N | 14.3 | 24.2 | 25.0
| | S/N(c) | 12.9 | 22.0 | 23.4
| | SN(E/C) | 0.38
|
|
|
|
|
|
|