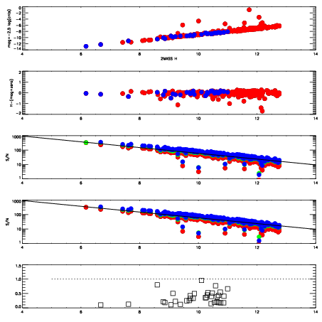
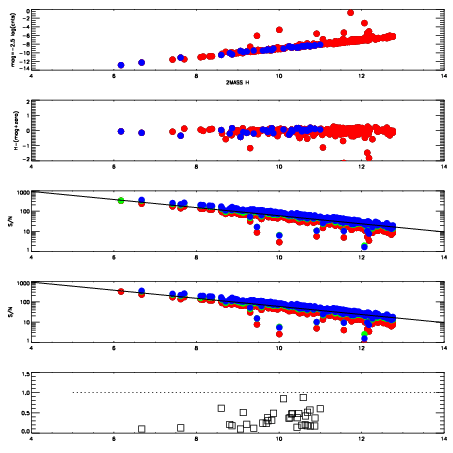
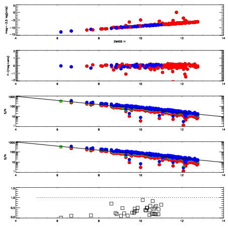
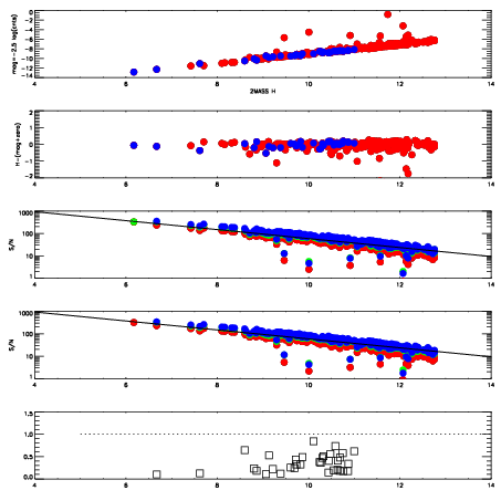
| Frame | Nreads | Zeropoints | Mag plots
| Spatial mag deviation
| Spatial sky 16325A emission deviations (filled: sky, open: star)
| Spatial sky continuum emission
| Spatial sky telluric CO2 absorption deviations (filled: H < 10)
|
| 7920033
| 47
| | Red | Green | Blue
| | z | | 18.89
| | znorm | | 14.71
| | sky | 14.6 | 14.6 | 14.4
| | S/N | 14.2 | 23.2 | 23.0
| | S/N(c) | 12.9 | 21.8 | 22.1
| | SN(E/C) | 0.36
|
|
|
|
|
|
|
| 7920034
| 47
| | Red | Green | Blue
| | z | | 18.95
| | znorm | | 14.77
| | sky | 14.8 | 14.8 | 15.1
| | S/N | 14.3 | 23.8 | 23.9
| | S/N(c) | 13.0 | 22.3 | 22.8
| | SN(E/C) | 0.35
|
|
|
|
|
|
|
| 7920035
| 47
| | Red | Green | Blue
| | z | | 19.01
| | znorm | | 14.83
| | sky | 15.1 | 14.7 | 15.0
| | S/N | 14.9 | 24.3 | 24.7
| | S/N(c) | 13.5 | 22.9 | 23.7
| | SN(E/C) | 0.34
|
|
|
|
|
|
|
| 7920036
| 47
| | Red | Green | Blue
| | z | | 19.06
| | znorm | | 14.88
| | sky | 15.0 | 15.1 | 14.9
| | S/N | 15.1 | 24.6 | 25.5
| | S/N(c) | 13.9 | 23.1 | 24.5
| | SN(E/C) | 0.34
|
|
|
|
|
|
|
| 7920037
| 47
| | Red | Green | Blue
| | z | | 19.05
| | znorm | | 14.87
| | sky | 14.9 | 15.0 | 15.2
| | S/N | 14.9 | 24.3 | 25.8
| | S/N(c) | 13.7 | 22.9 | 24.3
| | SN(E/C) | 0.35
|
|
|
|
|
|
|
| 7920038
| 47
| | Red | Green | Blue
| | z | | 19.05
| | znorm | | 14.87
| | sky | 15.0 | 15.0 | 15.1
| | S/N | 14.8 | 24.5 | 25.6
| | S/N(c) | 13.5 | 23.0 | 24.4
| | SN(E/C) | 0.36
|
|
|
|
|
|
|
| 7920039
| 47
| | Red | Green | Blue
| | z | | 19.04
| | znorm | | 14.86
| | sky | 15.2 | 14.9 | 15.2
| | S/N | 14.6 | 23.9 | 25.7
| | S/N(c) | 13.4 | 22.6 | 24.3
| | SN(E/C) | 0.36
|
|
|
|
|
|
|
| 7920040
| 47
| | Red | Green | Blue
| | z | | 18.98
| | znorm | | 14.80
| | sky | 15.2 | 15.1 | 15.3
| | S/N | 14.0 | 23.3 | 25.3
| | S/N(c) | 12.6 | 22.0 | 24.0
| | SN(E/C) | 0.34
|
|
|
|
|
|
|