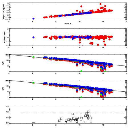
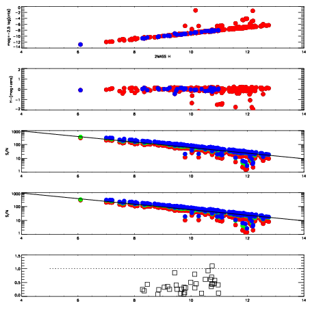
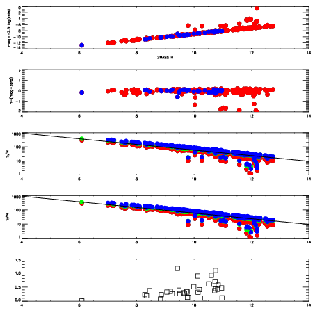
| Frame | Nreads | Zeropoints | Mag plots
| Spatial mag deviation
| Spatial sky 16325A emission deviations (filled: sky, open: star)
| Spatial sky continuum emission
| Spatial sky telluric CO2 absorption deviations (filled: H < 10)
|
| 7910023
| 47
| | Red | Green | Blue
| | z | | 18.97
| | znorm | | 14.79
| | sky | 15.7 | 14.9 | 14.5
| | S/N | 13.4 | 22.6 | 23.8
| | S/N(c) | 12.0 | 21.3 | 22.8
| | SN(E/C) | 0.39
|
|
|
|
|
|
|
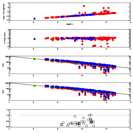
| 7910024
| 47
| | Red | Green | Blue
| | z | | 18.97
| | znorm | | 14.79
| | sky | 15.1 | 14.9 | 14.7
| | S/N | 13.5 | 22.9 | 23.6
| | S/N(c) | 12.1 | 21.4 | 22.9
| | SN(E/C) | 0.38
|
|
|
|
|
|
|
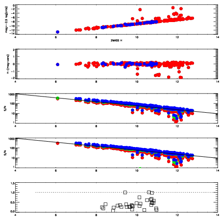
| 7910025
| 47
| | Red | Green | Blue
| | z | | 19.01
| | znorm | | 14.83
| | sky | 15.3 | 15.0 | 14.8
| | S/N | 13.9 | 23.4 | 24.1
| | S/N(c) | 12.4 | 21.7 | 23.3
| | SN(E/C) | 0.35
|
|
|
|
|
|
|
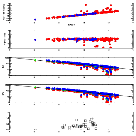
| 7910026
| 47
| | Red | Green | Blue
| | z | | 18.97
| | znorm | | 14.79
| | sky | 15.2 | 14.8 | 14.8
| | S/N | 13.6 | 22.9 | 23.5
| | S/N(c) | 12.1 | 21.4 | 22.8
| | SN(E/C) | 0.35
|
|
|
|
|
|
|
| 7910027
| 47
| | Red | Green | Blue
| | z | | 19.01
| | znorm | | 14.83
| | sky | 15.3 | 14.9 | 14.7
| | S/N | 13.7 | 23.2 | 24.3
| | S/N(c) | 12.4 | 21.6 | 23.3
| | SN(E/C) | 0.37
|
|
|
|
|
|
|
| 7910028
| 47
| | Red | Green | Blue
| | z | | 19.03
| | znorm | | 14.85
| | sky | 15.0 | 14.8 | 14.9
| | S/N | 14.0 | 23.4 | 24.5
| | S/N(c) | 12.6 | 21.8 | 23.6
| | SN(E/C) | 0.36
|
|
|
|
|
|
|
| 7910029
| 47
| | Red | Green | Blue
| | z | | 19.08
| | znorm | | 14.90
| | sky | 15.2 | 14.9 | 14.8
| | S/N | 14.4 | 23.8 | 25.3
| | S/N(c) | 13.0 | 22.3 | 24.3
| | SN(E/C) | 0.39
|
|
|
|
|
|
|
| 7910030
| 47
| | Red | Green | Blue
| | z | | 19.05
| | znorm | | 14.87
| | sky | 15.4 | 14.9 | 14.7
| | S/N | 14.7 | 23.4 | 24.7
| | S/N(c) | 12.9 | 21.9 | 23.7
| | SN(E/C) | 0.36
|
|
|
|
|
|
|