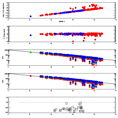
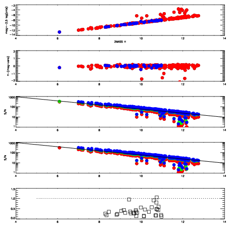
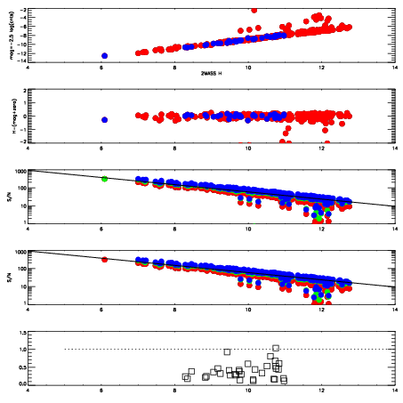
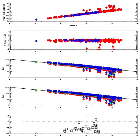
| Frame | Nreads | Zeropoints | Mag plots
| Spatial mag deviation
| Spatial sky 16325A emission deviations (filled: sky, open: star)
| Spatial sky continuum emission
| Spatial sky telluric CO2 absorption deviations (filled: H < 10)
|
| 8400026
| 47
| | Red | Green | Blue
| | z | | 18.91
| | znorm | | 14.73
| | sky | 14.9 | 14.5 | 14.4
| | S/N | 13.8 | 22.7 | 23.6
| | S/N(c) | 12.4 | 21.0 | 22.4
| | SN(E/C) | 0.36
|
|
|
|
|
|
|
| 8400027
| 47
| | Red | Green | Blue
| | z | | 19.01
| | znorm | | 14.83
| | sky | 14.9 | 14.4 | 14.8
| | S/N | 14.5 | 23.8 | 25.1
| | S/N(c) | 13.0 | 22.3 | 23.8
| | SN(E/C) | 0.35
|
|
|
|
|
|
|
| 8400028
| 47
| | Red | Green | Blue
| | z | | 18.97
| | znorm | | 14.79
| | sky | 15.1 | 14.7 | 14.7
| | S/N | 14.0 | 23.2 | 24.5
| | S/N(c) | 12.5 | 21.6 | 23.2
| | SN(E/C) | 0.37
|
|
|
|
|
|
|
| 8400029
| 47
| | Red | Green | Blue
| | z | | 18.98
| | znorm | | 14.80
| | sky | 15.0 | 14.6 | 14.8
| | S/N | 13.9 | 23.1 | 24.9
| | S/N(c) | 12.2 | 21.7 | 23.3
| | SN(E/C) | 0.35
|
|
|
|
|
|
|
| 8400030
| 47
| | Red | Green | Blue
| | z | | 19.04
| | znorm | | 14.86
| | sky | 14.8 | 14.6 | 14.7
| | S/N | 14.7 | 24.1 | 25.9
| | S/N(c) | 13.1 | 22.5 | 24.5
| | SN(E/C) | 0.34
|
|
|
|
|
|
|
| 8400031
| 47
| | Red | Green | Blue
| | z | | 18.98
| | znorm | | 14.79
| | sky | 15.1 | 14.7 | 14.9
| | S/N | 14.1 | 23.1 | 25.1
| | S/N(c) | 12.6 | 21.7 | 23.6
| | SN(E/C) | 0.34
|
|
|
|
|
|
|
| 8400032
| 47
| | Red | Green | Blue
| | z | | 18.88
| | znorm | | 14.70
| | sky | 14.9 | 14.7 | 14.9
| | S/N | 13.2 | 21.9 | 23.6
| | S/N(c) | 12.0 | 20.5 | 22.4
| | SN(E/C) | 0.37
|
|
|
|
|
|
|
| 8400033
| 47
| | Red | Green | Blue
| | z | | 18.95
| | znorm | | 14.77
| | sky | 14.9 | 14.7 | 14.8
| | S/N | 13.4 | 22.4 | 24.5
| | S/N(c) | 12.0 | 21.1 | 23.1
| | SN(E/C) | 0.35
|
|
|
|
|
|
|