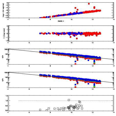
| Frame | Nreads | Zeropoints | Mag plots
| Spatial mag deviation
| Spatial sky 16325A emission deviations (filled: sky, open: star)
| Spatial sky continuum emission
| Spatial sky telluric CO2 absorption deviations (filled: H < 10)
|
| 8400037
| 47
| | Red | Green | Blue
| | z | | 18.84
| | znorm | | 14.66
| | sky | 14.7 | 14.2 | 14.3
| | S/N | 14.3 | 23.0 | 24.9
| | S/N(c) | 12.6 | 21.8 | 23.5
| | SN(E/C) | 0.36
|
|
|
|
|
|
|
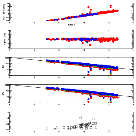
| 8400038
| 47
| | Red | Green | Blue
| | z | | 18.94
| | znorm | | 14.76
| | sky | 14.8 | 14.6 | 14.8
| | S/N | 15.0 | 24.4 | 26.6
| | S/N(c) | 13.6 | 22.7 | 25.0
| | SN(E/C) | 0.36
|
|
|
|
|
|
|
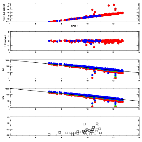
| 8400039
| 47
| | Red | Green | Blue
| | z | | 18.97
| | znorm | | 14.79
| | sky | 14.9 | 14.7 | 15.0
| | S/N | 15.1 | 24.9 | 27.1
| | S/N(c) | 13.7 | 23.3 | 25.4
| | SN(E/C) | 0.33
|
|
|
|
|
|
|
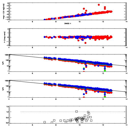
| 8400040
| 47
| | Red | Green | Blue
| | z | | 19.03
| | znorm | | 14.85
| | sky | 14.9 | 14.7 | 15.1
| | S/N | 16.1 | 25.6 | 28.1
| | S/N(c) | 14.3 | 24.0 | 26.3
| | SN(E/C) | 0.32
|
|
|
|
|
|
|
| 8400041
| 47
| | Red | Green | Blue
| | z | | 18.94
| | znorm | | 14.76
| | sky | 14.6 | 14.7 | 14.9
| | S/N | 15.5 | 24.5 | 27.0
| | S/N(c) | 13.7 | 22.8 | 25.4
| | SN(E/C) | 0.35
|
|
|
|
|
|
|
| 8400042
| 47
| | Red | Green | Blue
| | z | | 19.01
| | znorm | | 14.83
| | sky | 14.7 | 14.7 | 15.0
| | S/N | 16.0 | 25.5 | 28.1
| | S/N(c) | 14.1 | 23.9 | 26.4
| | SN(E/C) | 0.32
|
|
|
|
|
|
|
| 8400043
| 47
| | Red | Green | Blue
| | z | | 19.01
| | znorm | | 14.83
| | sky | 14.8 | 14.7 | 15.0
| | S/N | 16.1 | 25.7 | 28.0
| | S/N(c) | 14.3 | 24.0 | 26.4
| | SN(E/C) | 0.32
|
|
|
|
|
|
|
| 8400044
| 47
| | Red | Green | Blue
| | z | | 19.01
| | znorm | | 14.83
| | sky | 14.7 | 14.8 | 14.9
| | S/N | 15.8 | 25.3 | 27.9
| | S/N(c) | 14.0 | 23.7 | 26.2
| | SN(E/C) | 0.33
|
|
|
|
|
|
|