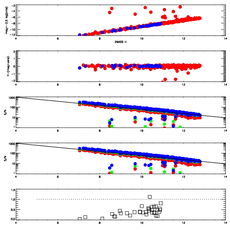
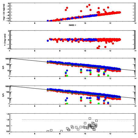
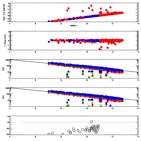
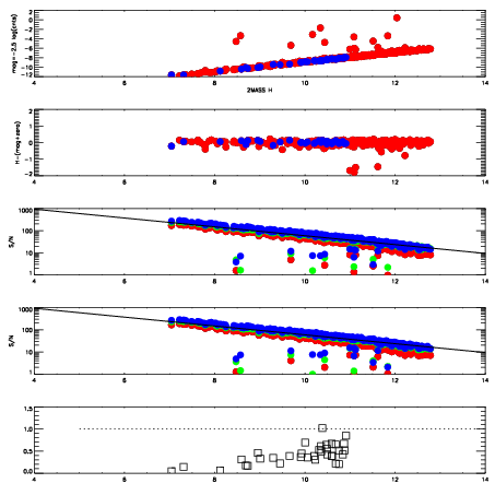
| Frame | Nreads | Zeropoints | Mag plots
| Spatial mag deviation
| Spatial sky 16325A emission deviations (filled: sky, open: star)
| Spatial sky continuum emission
| Spatial sky telluric CO2 absorption deviations (filled: H < 10)
|
| 7920055
| 47
| | Red | Green | Blue
| | z | | 18.92
| | znorm | | 14.74
| | sky | 14.8 | 14.6 | 14.3
| | S/N | 14.2 | 24.2 | 24.9
| | S/N(c) | 12.6 | 22.2 | 24.4
| | SN(E/C) | 0.39
|
|
|
|
|
|
|
| 7920056
| 47
| | Red | Green | Blue
| | z | | 18.92
| | znorm | | 14.74
| | sky | 14.8 | 14.6 | 14.7
| | S/N | 14.0 | 24.1 | 25.0
| | S/N(c) | 12.4 | 22.1 | 24.3
| | SN(E/C) | 0.39
|
|
|
|
|
|
|
| 7920057
| 47
| | Red | Green | Blue
| | z | | 19.01
| | znorm | | 14.83
| | sky | 14.7 | 14.5 | 14.2
| | S/N | 15.3 | 25.3 | 26.0
| | S/N(c) | 13.4 | 23.2 | 25.5
| | SN(E/C) | 0.38
|
|
|
|
|
|
|
| 7920058
| 47
| | Red | Green | Blue
| | z | | 18.88
| | znorm | | 14.70
| | sky | 15.0 | 14.9 | 14.4
| | S/N | 13.8 | 23.5 | 24.2
| | S/N(c) | 12.0 | 21.5 | 23.5
| | SN(E/C) | 0.39
|
|
|
|
|
|
|
| 7920059
| 47
| | Red | Green | Blue
| | z | | 19.04
| | znorm | | 14.86
| | sky | 14.7 | 14.8 | 14.5
| | S/N | 15.2 | 25.6 | 26.6
| | S/N(c) | 13.4 | 23.4 | 25.8
| | SN(E/C) | 0.38
|
|
|
|
|
|
|
| 7920060
| 47
| | Red | Green | Blue
| | z | | 19.05
| | znorm | | 14.87
| | sky | 14.9 | 14.8 | 14.5
| | S/N | 15.1 | 25.6 | 26.7
| | S/N(c) | 13.3 | 23.4 | 25.8
| | SN(E/C) | 0.37
|
|
|
|
|
|
|
| 7920061
| 47
| | Red | Green | Blue
| | z | | 19.08
| | znorm | | 14.90
| | sky | 14.9 | 14.8 | 14.6
| | S/N | 15.6 | 25.7 | 26.8
| | S/N(c) | 13.6 | 23.9 | 26.1
| | SN(E/C) | 0.36
|
|
|
|
|
|
|
| 7920062
| 47
| | Red | Green | Blue
| | z | | 18.99
| | znorm | | 14.81
| | sky | 14.9 | 14.9 | 14.6
| | S/N | 14.6 | 24.7 | 25.6
| | S/N(c) | 12.7 | 22.6 | 25.2
| | SN(E/C) | 0.41
|
|
|
|
|
|
|