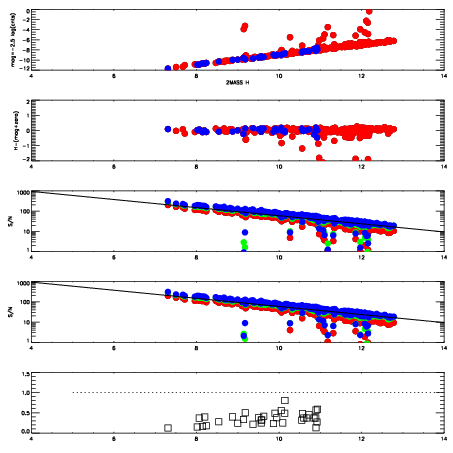
| Frame | Nreads | Zeropoints | Mag plots
| Spatial mag deviation
| Spatial sky 16325A emission deviations (filled: sky, open: star)
| Spatial sky continuum emission
| Spatial sky telluric CO2 absorption deviations (filled: H < 10)
|
| 7610070
| 47
| | Red | Green | Blue
| | z | | 18.83
| | znorm | | 14.65
| | sky | 15.0 | 14.9 | 14.6
| | S/N | 12.7 | 20.9 | 24.1
| | S/N(c) | 11.0 | 19.9 | 23.1
| | SN(E/C) | 0.38
|
|
|
|
|
|
|
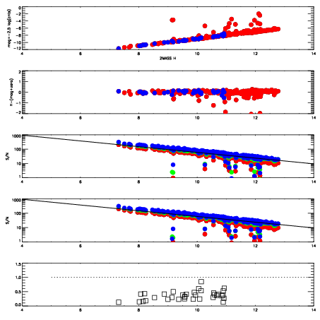
| 7610071
| 47
| | Red | Green | Blue
| | z | | 18.86
| | znorm | | 14.68
| | sky | 15.3 | 14.9 | 14.9
| | S/N | 12.9 | 21.2 | 24.5
| | S/N(c) | 11.0 | 20.0 | 23.6
| | SN(E/C) | 0.37
|
|
|
|
|
|
|
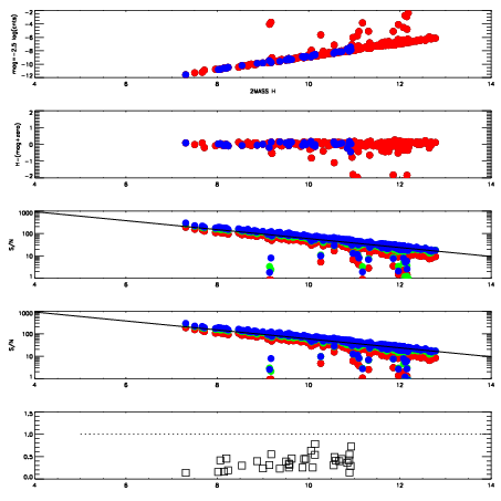
| 7610072
| 47
| | Red | Green | Blue
| | z | | 18.75
| | znorm | | 14.57
| | sky | 15.5 | 14.9 | 15.0
| | S/N | 11.8 | 20.1 | 23.0
| | S/N(c) | 10.3 | 19.1 | 22.1
| | SN(E/C) | 0.37
|
|
|
|
|
|
|
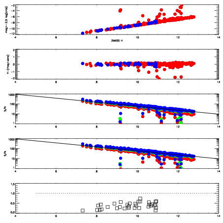
| 7610073
| 47
| | Red | Green | Blue
| | z | | 18.79
| | znorm | | 14.61
| | sky | 15.5 | 14.9 | 15.0
| | S/N | 12.0 | 20.5 | 23.5
| | S/N(c) | 10.6 | 19.4 | 22.6
| | SN(E/C) | 0.38
|
|
|
|
|
|
|
| 7610074
| 47
| | Red | Green | Blue
| | z | | 18.88
| | znorm | | 14.70
| | sky | 15.2 | 15.1 | 14.9
| | S/N | 12.7 | 21.8 | 24.1
| | S/N(c) | 11.4 | 20.4 | 23.5
| | SN(E/C) | 0.36
|
|
|
|
|
|
|
| 7610075
| 47
| | Red | Green | Blue
| | z | | 18.83
| | znorm | | 14.65
| | sky | 15.4 | 14.9 | 14.9
| | S/N | 12.5 | 20.9 | 23.7
| | S/N(c) | 11.0 | 19.9 | 22.7
| | SN(E/C) | 0.39
|
|
|
|
|
|
|
| 7610076
| 47
| | Red | Green | Blue
| | z | | 18.90
| | znorm | | 14.72
| | sky | 15.0 | 15.0 | 14.9
| | S/N | 12.9 | 22.0 | 24.4
| | S/N(c) | 11.7 | 20.7 | 23.6
| | SN(E/C) | 0.37
|
|
|
|
|
|
|
| 7610077
| 47
| | Red | Green | Blue
| | z | | 18.93
| | znorm | | 14.75
| | sky | 15.0 | 14.8 | 14.7
| | S/N | 13.2 | 22.0 | 24.6
| | S/N(c) | 11.9 | 20.8 | 23.8
| | SN(E/C) | 0.36
|
|
|
|
|
|
|
| 7610078
| 47
| | Red | Green | Blue
| | z | | 18.94
| | znorm | | 14.76
| | sky | 15.1 | 14.9 | 14.8
| | S/N | 13.4 | 22.0 | 24.4
| | S/N(c) | 12.0 | 20.8 | 23.7
| | SN(E/C) | 0.37
|
|
|
|
|
|
|
| 7610079
| 47
| | Red | Green | Blue
| | z | | 18.80
| | znorm | | 14.62
| | sky | 14.9 | 15.1 | 15.0
| | S/N | 11.7 | 20.2 | 23.0
| | S/N(c) | 10.5 | 18.9 | 21.9
| | SN(E/C) | 0.39
|
|
|
|
|
|
|