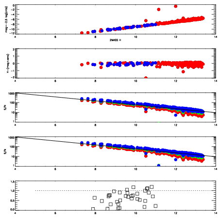
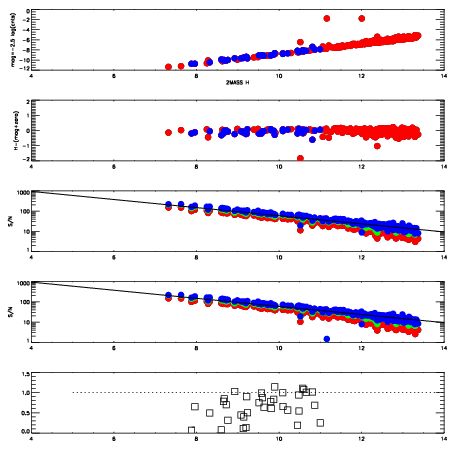
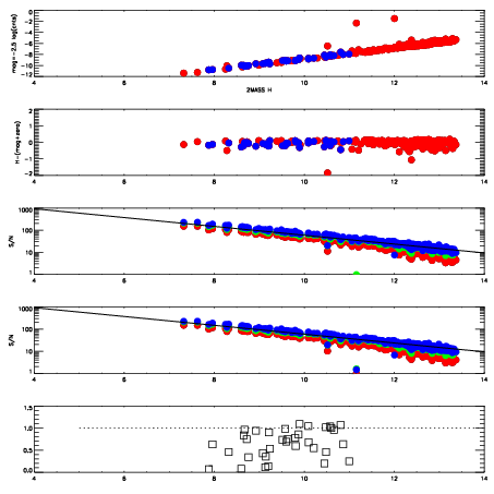
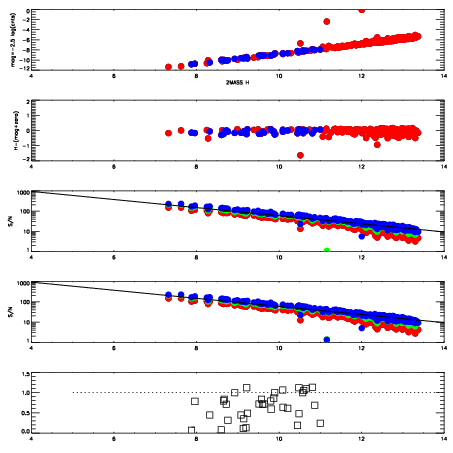
| Frame | Nreads | Zeropoints | Mag plots
| Spatial mag deviation
| Spatial sky 16325A emission deviations (filled: sky, open: star)
| Spatial sky continuum emission
| Spatial sky telluric CO2 absorption deviations (filled: H < 10)
|
| 7610037
| 47
| | Red | Green | Blue
| | z | | 18.80
| | znorm | | 14.62
| | sky | 15.9 | 15.1 | 14.9
| | S/N | 12.0 | 21.7 | 23.1
| | S/N(c) | 10.6 | 20.3 | 21.8
| | SN(E/C) | 0.69
|
|
|
|
|
|
|
| 7610038
| 47
| | Red | Green | Blue
| | z | | 18.84
| | znorm | | 14.66
| | sky | 15.8 | 15.3 | 15.5
| | S/N | 12.2 | 22.0 | 23.7
| | S/N(c) | 10.9 | 20.7 | 22.2
| | SN(E/C) | 0.71
|
|
|
|
|
|
|
| 7610039
| 47
| | Red | Green | Blue
| | z | | 18.83
| | znorm | | 14.65
| | sky | 15.7 | 15.1 | 15.6
| | S/N | 12.3 | 21.8 | 24.2
| | S/N(c) | 10.8 | 20.7 | 22.2
| | SN(E/C) | 0.69
|
|
|
|
|
|
|
| 7610040
| 47
| | Red | Green | Blue
| | z | | 18.92
| | znorm | | 14.74
| | sky | 15.4 | 15.1 | 15.6
| | S/N | 13.7 | 22.9 | 25.6
| | S/N(c) | 12.0 | 21.6 | 23.5
| | SN(E/C) | 0.70
|
|
|
|
|
|
|
| 7610041
| 47
| | Red | Green | Blue
| | z | | 18.72
| | znorm | | 14.54
| | sky | 15.3 | 15.3 | 15.6
| | S/N | 11.4 | 20.4 | 22.6
| | S/N(c) | 10.1 | 19.2 | 20.6
| | SN(E/C) | 0.71
|
|
|
|
|
|
|
| 7610042
| 47
| | Red | Green | Blue
| | z | | 18.90
| | znorm | | 14.72
| | sky | 15.9 | 15.2 | 15.7
| | S/N | 13.5 | 22.5 | 25.3
| | S/N(c) | 11.8 | 21.4 | 23.5
| | SN(E/C) | 0.70
|
|
|
|
|
|
|
| 7610043
| 47
| | Red | Green | Blue
| | z | | 18.85
| | znorm | | 14.67
| | sky | 15.7 | 15.4 | 15.8
| | S/N | 12.8 | 21.7 | 24.2
| | S/N(c) | 11.4 | 20.6 | 22.6
| | SN(E/C) | 0.71
|
|
|
|
|
|
|
| 7610044
| 47
| | Red | Green | Blue
| | z | | 19.03
| | znorm | | 14.85
| | sky | 15.3 | 15.4 | 15.5
| | S/N | 14.3 | 23.9 | 27.0
| | S/N(c) | 12.7 | 22.8 | 25.2
| | SN(E/C) | 0.71
|
|
|
|
|
|
|