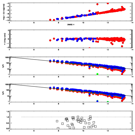
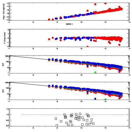
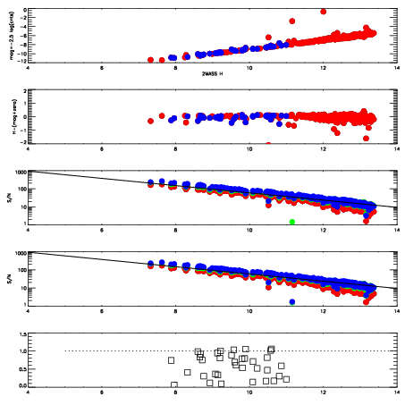
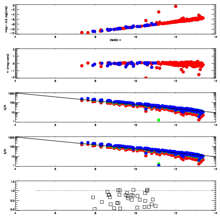
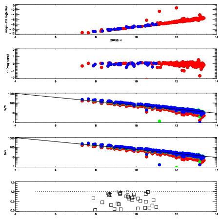
Frame | Nreads | Zeropoints | Mag plots
| Spatial mag deviation
| Spatial sky 16325A emission deviations (filled: sky, open: star)
| Spatial sky continuum emission
| Spatial sky telluric CO2 absorption deviations (filled: H < 10)
|
7910012
| 47
| | Red | Green | Blue
| z | | 18.98
| znorm | | 14.80
| sky | 15.0 | 14.9 | 14.6
| S/N | 15.0 | 23.1 | 23.6
| S/N(c) | 13.6 | 21.7 | 23.0
| SN(E/C) | 0.64
|
|
|
|
|
|
|
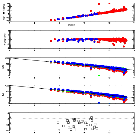
7910013
| 47
| | Red | Green | Blue
| z | | 19.00
| znorm | | 14.82
| sky | 14.8 | 15.0 | 15.0
| S/N | 15.5 | 23.4 | 24.5
| S/N(c) | 13.9 | 22.1 | 23.7
| SN(E/C) | 0.69
|
|
|
|
|
|
|
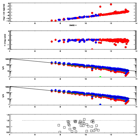
7910014
| 47
| | Red | Green | Blue
| z | | 19.03
| znorm | | 14.85
| sky | 15.1 | 15.1 | 15.2
| S/N | 15.5 | 23.1 | 24.8
| S/N(c) | 14.1 | 21.8 | 23.8
| SN(E/C) | 0.67
|
|
|
|
|
|
|
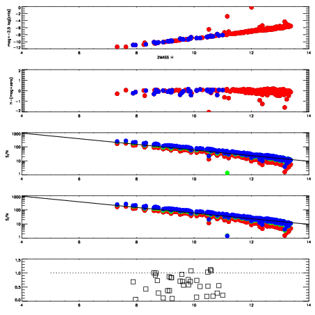
7910015
| 47
| | Red | Green | Blue
| z | | 19.00
| znorm | | 14.82
| sky | 15.1 | 15.3 | 15.3
| S/N | 15.2 | 22.8 | 24.5
| S/N(c) | 13.6 | 21.4 | 23.4
| SN(E/C) | 0.66
|
|
|
|
|
|
|
7910016
| 47
| | Red | Green | Blue
| z | | 19.04
| znorm | | 14.86
| sky | 15.1 | 15.1 | 15.3
| S/N | 15.5 | 23.5 | 25.4
| S/N(c) | 13.8 | 22.3 | 24.3
| SN(E/C) | 0.66
|
|
|
|
|
|
|
7910017
| 47
| | Red | Green | Blue
| z | | 19.01
| znorm | | 14.83
| sky | 15.2 | 15.2 | 15.3
| S/N | 15.1 | 23.3 | 25.2
| S/N(c) | 13.5 | 22.0 | 24.0
| SN(E/C) | 0.62
|
|
|
|
|
|
|
7910018
| 47
| | Red | Green | Blue
| z | | 19.00
| znorm | | 14.82
| sky | 15.4 | 15.2 | 15.5
| S/N | 14.9 | 23.3 | 25.2
| S/N(c) | 13.2 | 22.0 | 23.9
| SN(E/C) | 0.64
|
|
|
|
|
|
|
7910019
| 47
| | Red | Green | Blue
| z | | 19.02
| znorm | | 14.84
| sky | 15.1 | 15.2 | 15.5
| S/N | 15.2 | 23.6 | 25.4
| S/N(c) | 13.6 | 22.2 | 24.1
| SN(E/C) | 0.68
|
|
|
|
|
|
|