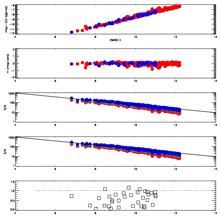
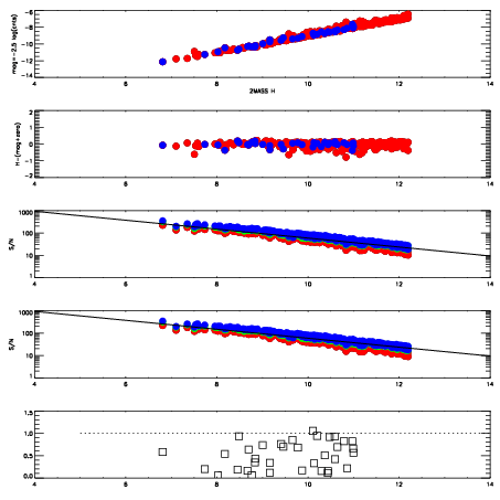
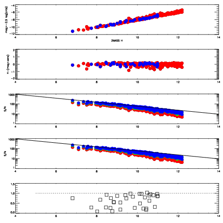
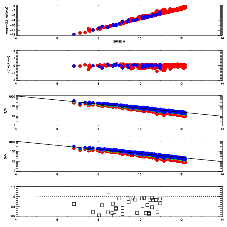
| Frame | Nreads | Zeropoints | Mag plots
| Spatial mag deviation
| Spatial sky 16325A emission deviations (filled: sky, open: star)
| Spatial sky continuum emission
| Spatial sky telluric CO2 absorption deviations (filled: H < 10)
|
| 8780023
| 47
| | Red | Green | Blue
| | z | | 18.04
| | znorm | | 13.86
| | sky | 13.7 | 13.7 | 13.7
| | S/N | 7.6 | 14.1 | 14.5
| | S/N(c) | 6.7 | 13.2 | 13.6
| | SN(E/C) | 0.74
|
|
|
|
|
|
|
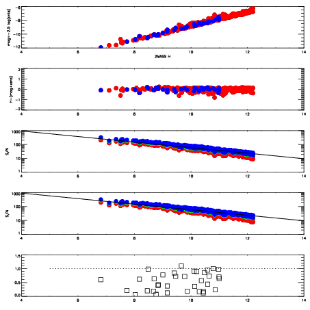
| 8780024
| 47
| | Red | Green | Blue
| | z | | 18.10
| | znorm | | 13.92
| | sky | 13.9 | 13.8 | 14.0
| | S/N | 8.3 | 14.6 | 15.3
| | S/N(c) | 6.9 | 13.1 | 14.1
| | SN(E/C) | 0.70
|
|
|
|
|
|
|
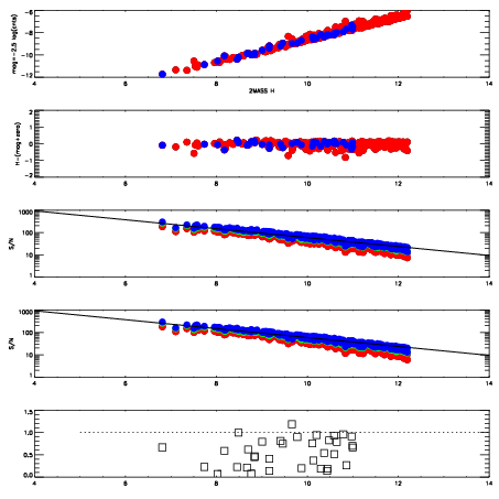
| 8780025
| 47
| | Red | Green | Blue
| | z | | 18.62
| | znorm | | 14.44
| | sky | 14.3 | 14.1 | 14.2
| | S/N | 12.0 | 20.3 | 21.1
| | S/N(c) | 10.3 | 18.5 | 19.9
| | SN(E/C) | 0.59
|
|
|
|
|
|
|
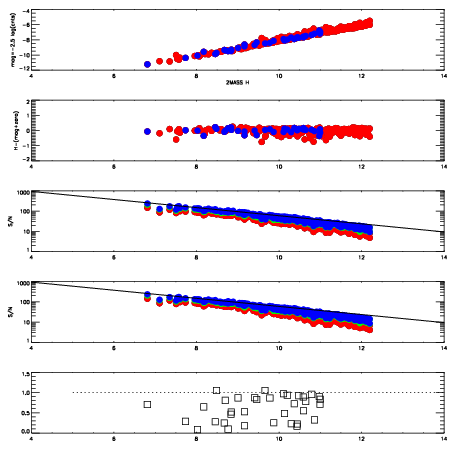
| 8780026
| 47
| | Red | Green | Blue
| | z | | 18.82
| | znorm | | 14.64
| | sky | 14.4 | 14.3 | 14.3
| | S/N | 13.7 | 23.1 | 23.7
| | S/N(c) | 12.0 | 21.4 | 22.4
| | SN(E/C) | 0.60
|
|
|
|
|
|
|
| 8780027
| 47
| | Red | Green | Blue
| | z | | 19.01
| | znorm | | 14.83
| | sky | 14.6 | 14.6 | 14.6
| | S/N | 15.4 | 25.6 | 26.6
| | S/N(c) | 13.4 | 23.6 | 25.1
| | SN(E/C) | 0.54
|
|
|
|
|
|
|
| 8780028
| 47
| | Red | Green | Blue
| | z | | 18.61
| | znorm | | 14.43
| | sky | 14.0 | 14.1 | 14.2
| | S/N | 11.7 | 19.9 | 20.9
| | S/N(c) | 9.9 | 18.4 | 19.5
| | SN(E/C) | 0.61
|
|
|
|
|
|
|
| 8780029
| 47
| | Red | Green | Blue
| | z | | 18.50
| | znorm | | 14.32
| | sky | 14.0 | 14.1 | 14.1
| | S/N | 10.7 | 18.2 | 19.3
| | S/N(c) | 9.1 | 16.9 | 18.0
| | SN(E/C) | 0.64
|
|
|
|
|
|
|
| 8780030
| 47
| | Red | Green | Blue
| | z | | 18.70
| | znorm | | 14.52
| | sky | 14.0 | 14.2 | 14.3
| | S/N | 12.3 | 20.6 | 21.6
| | S/N(c) | 10.7 | 19.4 | 20.0
| | SN(E/C) | 0.58
|
|
|
|
|
|
|