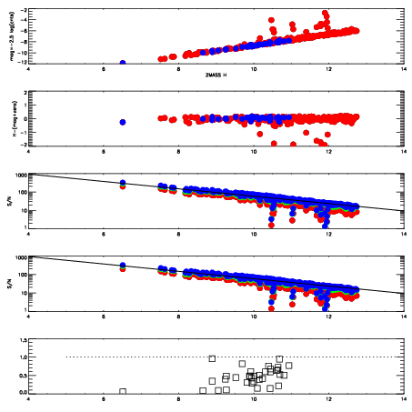
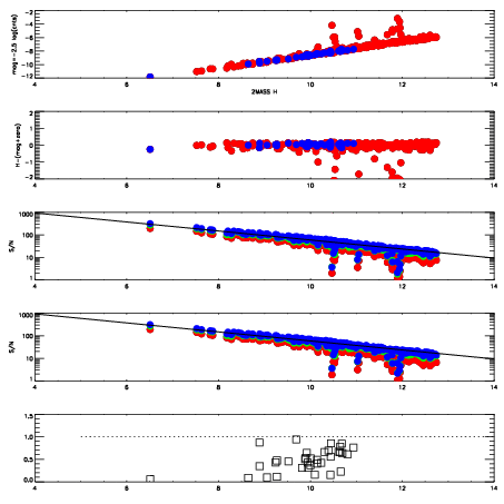
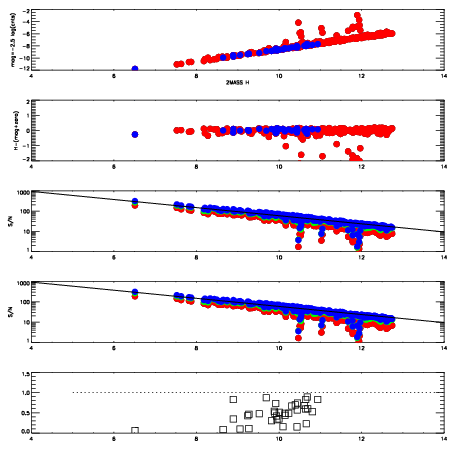
| Frame | Nreads | Zeropoints | Mag plots
| Spatial mag deviation
| Spatial sky 16325A emission deviations (filled: sky, open: star)
| Spatial sky continuum emission
| Spatial sky telluric CO2 absorption deviations (filled: H < 10)
|
| 8700037
| 47
| | Red | Green | Blue
| | z | | 18.47
| | znorm | | 14.29
| | sky | 15.3 | 14.5 | 14.5
| | S/N | 11.1 | 18.6 | 20.8
| | S/N(c) | 9.6 | 17.8 | 19.5
| | SN(E/C) | 0.51
|
|
|
|
|
|
|
| 8700038
| 47
| | Red | Green | Blue
| | z | | 18.57
| | znorm | | 14.39
| | sky | 14.9 | 14.5 | 14.9
| | S/N | 11.2 | 19.1 | 21.9
| | S/N(c) | 9.8 | 18.0 | 20.7
| | SN(E/C) | 0.49
|
|
|
|
|
|
|
| 8700039
| 47
| | Red | Green | Blue
| | z | | 18.65
| | znorm | | 14.47
| | sky | 14.7 | 14.6 | 15.0
| | S/N | 12.1 | 20.5 | 23.2
| | S/N(c) | 10.6 | 19.3 | 21.9
| | SN(E/C) | 0.47
|
|
|
|
|
|
|
| 8700040
| 47
| | Red | Green | Blue
| | z | | 18.66
| | znorm | | 14.48
| | sky | 14.6 | 14.6 | 14.9
| | S/N | 12.3 | 20.8 | 23.2
| | S/N(c) | 10.7 | 19.5 | 22.0
| | SN(E/C) | 0.49
|
|
|
|
|
|
|
| 8700041
| 47
| | Red | Green | Blue
| | z | | 18.70
| | znorm | | 14.52
| | sky | 14.8 | 14.7 | 15.1
| | S/N | 12.3 | 21.1 | 23.5
| | S/N(c) | 10.9 | 19.8 | 22.1
| | SN(E/C) | 0.48
|
|
|
|
|
|
|
| 8700042
| 47
| | Red | Green | Blue
| | z | | 18.64
| | znorm | | 14.46
| | sky | 15.0 | 14.7 | 15.1
| | S/N | 11.8 | 20.6 | 23.2
| | S/N(c) | 10.4 | 19.3 | 21.6
| | SN(E/C) | 0.48
|
|
|
|
|
|
|
| 8700043
| 47
| | Red | Green | Blue
| | z | | 18.56
| | znorm | | 14.38
| | sky | 14.7 | 14.9 | 15.1
| | S/N | 11.2 | 19.6 | 21.8
| | S/N(c) | 9.9 | 18.2 | 20.4
| | SN(E/C) | 0.49
|
|
|
|
|
|
|
| 8700044
| 47
| | Red | Green | Blue
| | z | | 18.53
| | znorm | | 14.35
| | sky | 14.8 | 15.0 | 15.2
| | S/N | 10.8 | 19.4 | 21.4
| | S/N(c) | 9.5 | 18.3 | 20.2
| | SN(E/C) | 0.51
|
|
|
|
|
|
|