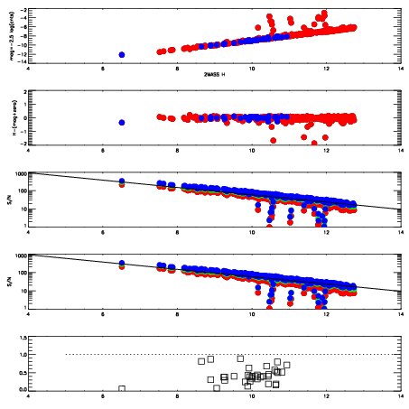
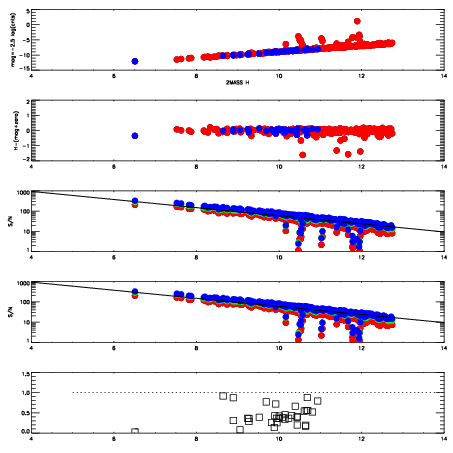
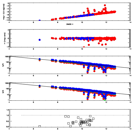
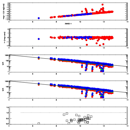
| Frame | Nreads | Zeropoints | Mag plots
| Spatial mag deviation
| Spatial sky 16325A emission deviations (filled: sky, open: star)
| Spatial sky continuum emission
| Spatial sky telluric CO2 absorption deviations (filled: H < 10)
|
| 9080011
| 47
| | Red | Green | Blue
| | z | | 18.83
| | znorm | | 14.65
| | sky | 14.2 | 14.1 | 14.2
| | S/N | 13.5 | 22.4 | 22.8
| | S/N(c) | 11.8 | 21.2 | 22.2
| | SN(E/C) | 0.43
|
|
|
|
|
|
|
| 9080012
| 47
| | Red | Green | Blue
| | z | | 18.93
| | znorm | | 14.75
| | sky | 14.4 | 14.3 | 14.4
| | S/N | 13.7 | 23.4 | 24.6
| | S/N(c) | 12.4 | 22.1 | 23.3
| | SN(E/C) | 0.39
|
|
|
|
|
|
|
| 9080013
| 47
| | Red | Green | Blue
| | z | | 18.99
| | znorm | | 14.81
| | sky | 14.3 | 14.3 | 14.6
| | S/N | 14.7 | 24.2 | 25.1
| | S/N(c) | 12.8 | 22.8 | 24.0
| | SN(E/C) | 0.40
|
|
|
|
|
|
|
| 9080014
| 47
| | Red | Green | Blue
| | z | | 19.03
| | znorm | | 14.85
| | sky | 14.2 | 14.4 | 14.6
| | S/N | 14.9 | 24.8 | 25.7
| | S/N(c) | 13.2 | 23.2 | 24.5
| | SN(E/C) | 0.39
|
|
|
|
|
|
|
| 9080015
| 47
| | Red | Green | Blue
| | z | | 19.05
| | znorm | | 14.87
| | sky | 14.3 | 14.3 | 14.7
| | S/N | 15.5 | 25.3 | 26.4
| | S/N(c) | 13.6 | 23.5 | 25.1
| | SN(E/C) | 0.38
|
|
|
|
|
|
|
| 9080016
| 47
| | Red | Green | Blue
| | z | | 19.00
| | znorm | | 14.82
| | sky | 14.5 | 14.4 | 14.7
| | S/N | 15.0 | 25.1 | 26.0
| | S/N(c) | 13.5 | 23.2 | 24.8
| | SN(E/C) | 0.41
|
|
|
|
|
|
|
| 9080017
| 47
| | Red | Green | Blue
| | z | | 19.09
| | znorm | | 14.91
| | sky | 14.1 | 14.5 | 14.6
| | S/N | 15.9 | 26.2 | 27.3
| | S/N(c) | 14.0 | 24.3 | 25.9
| | SN(E/C) | 0.38
|
|
|
|
|
|
|
| 9080018
| 47
| | Red | Green | Blue
| | z | | 19.09
| | znorm | | 14.91
| | sky | 14.1 | 14.4 | 14.8
| | S/N | 16.1 | 26.3 | 27.5
| | S/N(c) | 14.1 | 24.5 | 26.1
| | SN(E/C) | 0.38
|
|
|
|
|
|
|