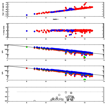
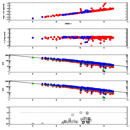
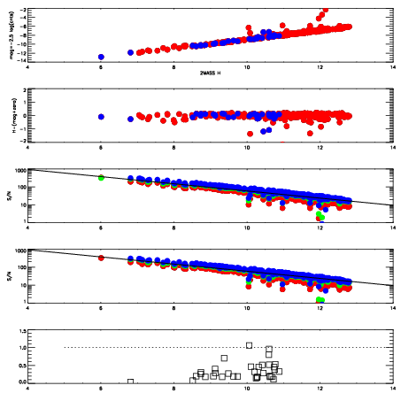
Left plots: red are targets, blue are telluric. Observed mags are calculated from median value of green chip. Zeropoint gives overall throughput: bigger number is more throughput.
First spatial plots: circles are objects, squares are tellurics, crosses are sky fibers. Colors give deviation of observed mag from expected 2MASS mag using the median zeropoint; red is brighter
Second spatial plots: circles are sky fibers. Colors give sky line brightness relative to plate median sky line brightness
FrameNreadsZeropointsMag plots Spatial mag deviation Spatial sky 16325A emission deviations (filled: sky, open: star) Spatial sky continuum emission Spatial sky telluric CO2 absorption deviations (filled: H < 10)
8460087 47
RedGreenBlue
z18.96
znorm14.78
sky 15.2 14.5 14.5
S/N 13.0 22.0 23.8
S/N(c) 11.2 20.0 22.5
SN(E/C) 0.28
8460088 47
RedGreenBlue
z18.95
znorm14.77
sky 15.1 14.6 14.7
S/N 13.0 22.3 23.3
S/N(c) 11.5 20.3 21.6
SN(E/C) 0.28
8460089 47
RedGreenBlue
z18.93
znorm14.75
sky 15.0 14.8 14.9
S/N 12.8 22.1 23.2
S/N(c) 11.1 20.1 21.7
SN(E/C) 0.29
8460090 47
RedGreenBlue
z18.90
znorm14.72
sky 15.1 14.8 15.1
S/N 12.3 21.3 22.6
S/N(c) 10.9 19.8 21.4
SN(E/C) 0.27