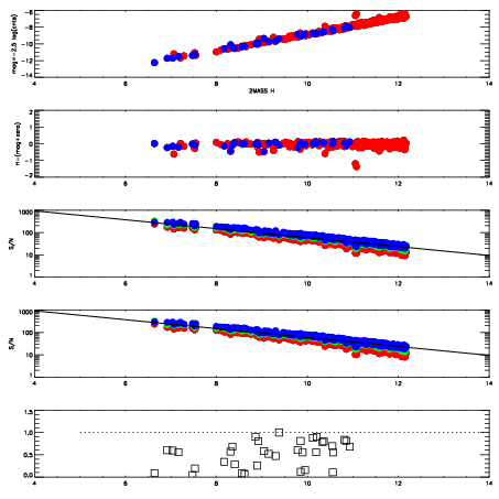
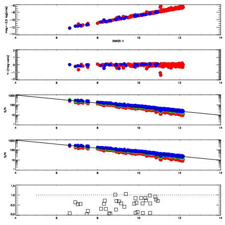
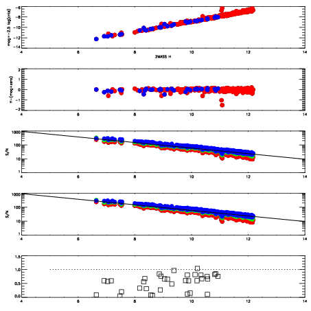
| Frame | Nreads | Zeropoints | Mag plots
| Spatial mag deviation
| Spatial sky 16325A emission deviations (filled: sky, open: star)
| Spatial sky continuum emission
| Spatial sky telluric CO2 absorption deviations (filled: H < 10)
|
| 8460094
| 47
| | Red | Green | Blue
| | z | | 18.80
| | znorm | | 14.62
| | sky | 14.8 | 14.4 | 14.5
| | S/N | 12.9 | 20.5 | 22.9
| | S/N(c) | 11.4 | 18.9 | 21.5
| | SN(E/C) | 0.64
|
|
|
|
|
|
|
| 8460095
| 47
| | Red | Green | Blue
| | z | | 18.83
| | znorm | | 14.65
| | sky | 15.0 | 14.5 | 14.7
| | S/N | 12.9 | 20.4 | 24.0
| | S/N(c) | 11.2 | 19.0 | 22.5
| | SN(E/C) | 0.57
|
|
|
|
|
|
|
| 8460096
| 47
| | Red | Green | Blue
| | z | | 18.85
| | znorm | | 14.67
| | sky | 14.7 | 14.5 | 14.8
| | S/N | 13.2 | 21.0 | 24.4
| | S/N(c) | 11.3 | 19.3 | 23.0
| | SN(E/C) | 0.58
|
|
|
|
|
|
|
| 8460097
| 47
| | Red | Green | Blue
| | z | | 18.88
| | znorm | | 14.70
| | sky | 14.7 | 14.6 | 14.7
| | S/N | 13.0 | 21.2 | 24.7
| | S/N(c) | 11.2 | 19.7 | 23.3
| | SN(E/C) | 0.60
|
|
|
|
|
|
|
| 8460098
| 47
| | Red | Green | Blue
| | z | | 18.87
| | znorm | | 14.69
| | sky | 14.6 | 14.6 | 14.8
| | S/N | 13.2 | 21.3 | 24.4
| | S/N(c) | 11.7 | 19.6 | 23.1
| | SN(E/C) | 0.57
|
|
|
|
|
|
|
| 8460099
| 47
| | Red | Green | Blue
| | z | | 18.92
| | znorm | | 14.74
| | sky | 14.7 | 14.6 | 14.7
| | S/N | 13.7 | 22.1 | 25.1
| | S/N(c) | 12.2 | 20.2 | 23.8
| | SN(E/C) | 0.55
|
|
|
|
|
|
|
| 8460100
| 47
| | Red | Green | Blue
| | z | | 18.84
| | znorm | | 14.66
| | sky | 14.7 | 14.6 | 14.9
| | S/N | 13.1 | 20.7 | 23.8
| | S/N(c) | 11.5 | 19.1 | 22.5
| | SN(E/C) | 0.60
|
|
|
|
|
|
|
| 8460101
| 47
| | Red | Green | Blue
| | z | | 18.60
| | znorm | | 14.42
| | sky | 14.8 | 14.8 | 15.0
| | S/N | 10.9 | 18.4 | 21.1
| | S/N(c) | 9.4 | 16.9 | 19.7
| | SN(E/C) | 0.64
|
|
|
|
|
|
|