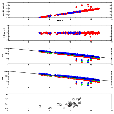
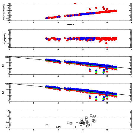
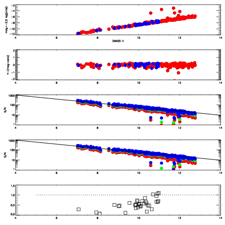
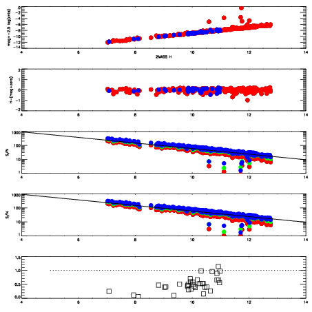
Frame | Nreads | Zeropoints | Mag plots
| Spatial mag deviation
| Spatial sky 16325A emission deviations (filled: sky, open: star)
| Spatial sky continuum emission
| Spatial sky telluric CO2 absorption deviations (filled: H < 10)
|
8180023
| 47
| | Red | Green | Blue
| z | | 18.61
| znorm | | 14.43
| sky | 14.1 | 13.8 | 13.8
| S/N | 11.9 | 19.5 | 20.5
| S/N(c) | 10.0 | 18.0 | 19.7
| SN(E/C) | 0.52
|
|
|
|
|
|
|
8180024
| 47
| | Red | Green | Blue
| z | | 18.94
| znorm | | 14.76
| sky | 14.5 | 14.5 | 14.6
| S/N | 14.6 | 24.5 | 25.6
| S/N(c) | 13.1 | 22.8 | 24.5
| SN(E/C) | 0.48
|
|
|
|
|
|
|
8180025
| 47
| | Red | Green | Blue
| z | | 18.51
| znorm | | 14.33
| sky | 14.0 | 13.9 | 14.0
| S/N | 10.7 | 18.2 | 19.4
| S/N(c) | 9.4 | 16.6 | 18.2
| SN(E/C) | 0.55
|
|
|
|
|
|
|
8180026
| 47
| | Red | Green | Blue
| z | | 18.98
| znorm | | 14.80
| sky | 14.5 | 14.6 | 14.6
| S/N | 15.0 | 25.3 | 26.3
| S/N(c) | 13.4 | 23.6 | 25.3
| SN(E/C) | 0.46
|
|
|
|
|
|
|
8180027
| 47
| | Red | Green | Blue
| z | | 19.09
| znorm | | 14.91
| sky | 15.0 | 14.8 | 14.8
| S/N | 16.2 | 27.1 | 28.2
| S/N(c) | 14.8 | 25.3 | 27.0
| SN(E/C) | 0.45
|
|
|
|
|
|
|
8180028
| 47
| | Red | Green | Blue
| z | | 18.95
| znorm | | 14.77
| sky | 14.6 | 14.6 | 14.5
| S/N | 14.5 | 24.9 | 25.9
| S/N(c) | 13.0 | 23.2 | 24.8
| SN(E/C) | 0.46
|
|
|
|
|
|
|
8180029
| 47
| | Red | Green | Blue
| z | | 18.23
| znorm | | 14.05
| sky | 13.5 | 13.6 | 13.7
| S/N | 8.2 | 14.9 | 15.8
| S/N(c) | 7.2 | 13.5 | 14.8
| SN(E/C) | 0.61
|
|
|
|
|
|
|
8180030
| 47
| | Red | Green | Blue
| z | | 16.70
| znorm | | 12.52
| sky | 13.0 | 13.1 | 13.3
| S/N | 1.9 | 4.2 | 4.9
| S/N(c) | 1.8 | 3.7 | 4.5
| SN(E/C) | 0.94
|
|
|
|
|
|
|