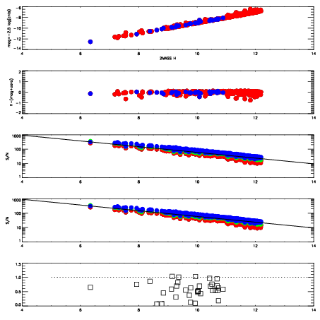
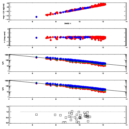
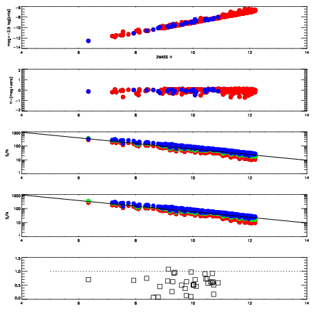
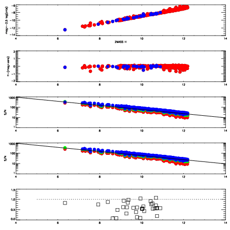
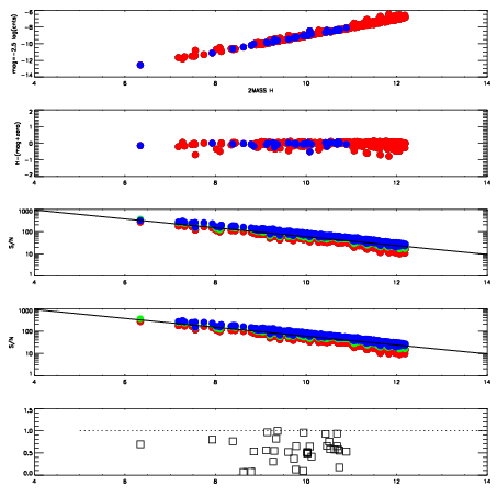
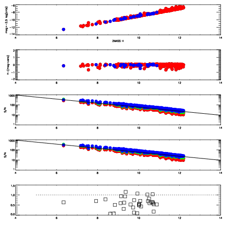
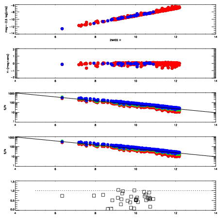
| Frame | Nreads | Zeropoints | Mag plots
| Spatial mag deviation
| Spatial sky 16325A emission deviations (filled: sky, open: star)
| Spatial sky continuum emission
| Spatial sky telluric CO2 absorption deviations (filled: H < 10)
|
| 8440047
| 47
| | Red | Green | Blue
| | z | | 19.00
| | znorm | | 14.82
| | sky | 14.9 | 14.5 | 14.5
| | S/N | 15.3 | 24.9 | 27.1
| | S/N(c) | 13.6 | 23.4 | 25.7
| | SN(E/C) | 0.59
|
|
|
|
|
|
|
| 8440048
| 47
| | Red | Green | Blue
| | z | | 19.02
| | znorm | | 14.84
| | sky | 14.6 | 14.6 | 14.9
| | S/N | 15.4 | 25.4 | 27.5
| | S/N(c) | 13.7 | 23.9 | 26.3
| | SN(E/C) | 0.59
|
|
|
|
|
|
|
| 8440049
| 47
| | Red | Green | Blue
| | z | | 19.01
| | znorm | | 14.83
| | sky | 14.6 | 14.6 | 14.8
| | S/N | 15.3 | 25.4 | 27.4
| | S/N(c) | 13.7 | 23.7 | 26.1
| | SN(E/C) | 0.59
|
|
|
|
|
|
|
| 8440050
| 47
| | Red | Green | Blue
| | z | | 19.01
| | znorm | | 14.83
| | sky | 15.3 | 14.7 | 14.9
| | S/N | 15.2 | 25.2 | 27.2
| | S/N(c) | 13.7 | 23.5 | 25.8
| | SN(E/C) | 0.58
|
|
|
|
|
|
|
| 8440051
| 47
| | Red | Green | Blue
| | z | | 19.01
| | znorm | | 14.83
| | sky | 14.8 | 14.7 | 14.9
| | S/N | 14.8 | 25.0 | 26.9
| | S/N(c) | 13.4 | 23.2 | 25.5
| | SN(E/C) | 0.58
|
|
|
|
|
|
|
| 8440052
| 47
| | Red | Green | Blue
| | z | | 19.03
| | znorm | | 14.85
| | sky | 14.8 | 14.8 | 14.9
| | S/N | 15.3 | 25.6 | 27.5
| | S/N(c) | 13.7 | 23.8 | 26.1
| | SN(E/C) | 0.58
|
|
|
|
|
|
|
| 8440053
| 47
| | Red | Green | Blue
| | z | | 19.05
| | znorm | | 14.87
| | sky | 14.8 | 14.7 | 14.8
| | S/N | 15.7 | 26.2 | 27.9
| | S/N(c) | 14.1 | 24.5 | 26.6
| | SN(E/C) | 0.56
|
|
|
|
|
|
|
| 8440054
| 47
| | Red | Green | Blue
| | z | | 18.95
| | znorm | | 14.77
| | sky | 14.8 | 14.8 | 15.0
| | S/N | 14.8 | 24.8 | 26.7
| | S/N(c) | 13.1 | 23.1 | 25.2
| | SN(E/C) | 0.58
|
|
|
|
|
|
|