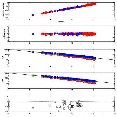
| Frame | Nreads | Zeropoints | Mag plots
| Spatial mag deviation
| Spatial sky 16325A emission deviations (filled: sky, open: star)
| Spatial sky continuum emission
| Spatial sky telluric CO2 absorption deviations (filled: H < 10)
|
| 8700048
| 47
| | Red | Green | Blue
| | z | | 18.83
| | znorm | | 14.64
| | sky | 14.8 | 14.6 | 14.4
| | S/N | 12.7 | 21.8 | 23.1
| | S/N(c) | 11.3 | 20.3 | 22.2
| | SN(E/C) | 0.63
|
|
|
|
|
|
|
| 8700049
| 47
| | Red | Green | Blue
| | z | | 18.80
| | znorm | | 14.62
| | sky | 14.9 | 14.8 | 15.1
| | S/N | 12.1 | 21.7 | 23.5
| | S/N(c) | 10.7 | 20.3 | 22.4
| | SN(E/C) | 0.65
|
|
|
|
|
|
|
| 8700050
| 47
| | Red | Green | Blue
| | z | | 18.87
| | znorm | | 14.69
| | sky | 14.8 | 14.8 | 15.0
| | S/N | 12.7 | 22.5 | 24.1
| | S/N(c) | 11.5 | 20.9 | 22.9
| | SN(E/C) | 0.60
|
|
|
|
|
|
|
| 8700051
| 47
| | Red | Green | Blue
| | z | | 18.91
| | znorm | | 14.73
| | sky | 14.9 | 14.9 | 15.0
| | S/N | 13.3 | 23.1 | 24.8
| | S/N(c) | 12.1 | 21.6 | 23.6
| | SN(E/C) | 0.61
|
|
|
|
|
|
|
| 8700052
| 47
| | Red | Green | Blue
| | z | | 18.91
| | znorm | | 14.73
| | sky | 14.8 | 15.0 | 15.1
| | S/N | 12.9 | 22.9 | 24.2
| | S/N(c) | 11.8 | 21.4 | 23.2
| | SN(E/C) | 0.61
|
|
|
|
|
|
|
| 8700053
| 47
| | Red | Green | Blue
| | z | | 18.91
| | znorm | | 14.73
| | sky | 14.9 | 15.0 | 15.2
| | S/N | 13.0 | 22.8 | 24.2
| | S/N(c) | 11.5 | 21.3 | 23.2
| | SN(E/C) | 0.63
|
|
|
|
|
|
|
| 8700054
| 47
| | Red | Green | Blue
| | z | | 18.92
| | znorm | | 14.73
| | sky | 15.3 | 15.0 | 15.2
| | S/N | 13.3 | 22.7 | 24.1
| | S/N(c) | 11.8 | 21.4 | 23.0
| | SN(E/C) | 0.59
|
|
|
|
|
|
|
| 8700055
| 47
| | Red | Green | Blue
| | z | | 18.93
| | znorm | | 14.75
| | sky | 15.4 | 15.1 | 15.1
| | S/N | 12.8 | 22.7 | 24.0
| | S/N(c) | 11.6 | 21.4 | 22.8
| | SN(E/C) | 0.62
|
|
|
|
|
|
|
| 8700056
| 47
| | Red | Green | Blue
| | z | | 18.98
| | znorm | | 14.80
| | sky | 14.9 | 15.2 | 15.1
| | S/N | 13.6 | 23.4 | 24.8
| | S/N(c) | 12.1 | 21.9 | 23.8
| | SN(E/C) | 0.61
|
|
|
|
|
|
|
| 8700057
| 47
| | Red | Green | Blue
| | z | | 19.01
| | znorm | | 14.83
| | sky | 14.7 | 15.0 | 15.1
| | S/N | 13.8 | 23.6 | 25.3
| | S/N(c) | 12.5 | 22.1 | 24.1
| | SN(E/C) | 0.60
|
|
|
|
|
|
|