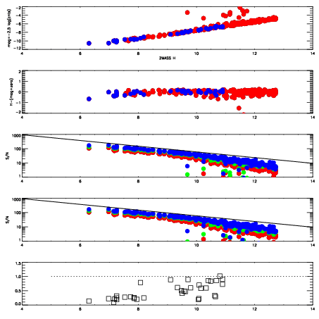
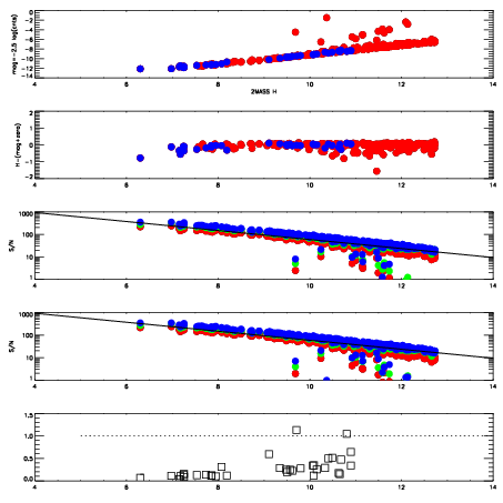
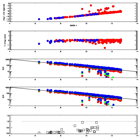
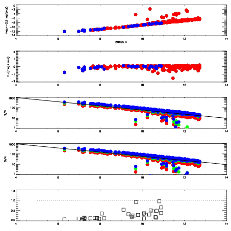
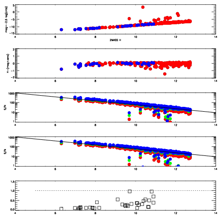
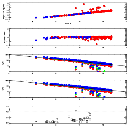
Frame | Nreads | Zeropoints | Mag plots
| Spatial mag deviation
| Spatial sky 16325A emission deviations (filled: sky, open: star)
| Spatial sky continuum emission
| Spatial sky telluric CO2 absorption deviations (filled: H < 10)
|
8180034
| 47
| | Red | Green | Blue
| z | | 17.52
| znorm | | 13.34
| sky | 13.1 | 13.1 | 13.1
| S/N | 4.3 | 8.3 | 8.6
| S/N(c) | 3.8 | 7.2 | 7.9
| SN(E/C) | 0.41
|
|
|
|
|
|
|
8180035
| 47
| | Red | Green | Blue
| z | | 19.06
| znorm | | 14.88
| sky | 14.5 | 14.4 | 14.4
| S/N | 15.0 | 25.0 | 26.2
| S/N(c) | 13.5 | 23.7 | 25.4
| SN(E/C) | 0.22
|
|
|
|
|
|
|
8180036
| 47
| | Red | Green | Blue
| z | | 18.81
| znorm | | 14.63
| sky | 14.2 | 14.0 | 14.0
| S/N | 12.1 | 21.2 | 22.1
| S/N(c) | 11.2 | 19.8 | 21.2
| SN(E/C) | 0.25
|
|
|
|
|
|
|
8180037
| 47
| | Red | Green | Blue
| z | | 19.05
| znorm | | 14.87
| sky | 14.3 | 14.3 | 14.4
| S/N | 14.6 | 25.0 | 26.1
| S/N(c) | 13.4 | 23.7 | 25.4
| SN(E/C) | 0.24
|
|
|
|
|
|
|
8180038
| 47
| | Red | Green | Blue
| z | | 19.18
| znorm | | 15.00
| sky | 14.7 | 14.6 | 14.6
| S/N | 16.2 | 26.9 | 28.2
| S/N(c) | 14.7 | 25.7 | 27.3
| SN(E/C) | 0.23
|
|
|
|
|
|
|
8180039
| 47
| | Red | Green | Blue
| z | | 19.15
| znorm | | 14.97
| sky | 14.5 | 14.5 | 14.5
| S/N | 15.5 | 26.2 | 27.5
| S/N(c) | 14.1 | 25.0 | 26.9
| SN(E/C) | 0.21
|
|
|
|
|
|
|
8180040
| 47
| | Red | Green | Blue
| z | | 19.10
| znorm | | 14.92
| sky | 14.7 | 14.4 | 14.4
| S/N | 15.2 | 25.4 | 26.6
| S/N(c) | 13.8 | 24.2 | 25.8
| SN(E/C) | 0.22
|
|
|
|
|
|
|
8180041
| 47
| | Red | Green | Blue
| z | | 19.12
| znorm | | 14.94
| sky | 14.7 | 14.6 | 14.5
| S/N | 15.4 | 25.9 | 27.2
| S/N(c) | 14.1 | 24.6 | 26.4
| SN(E/C) | 0.21
|
|
|
|
|
|
|