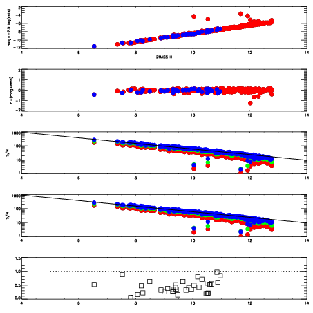
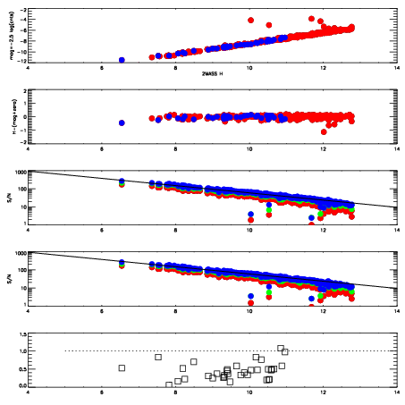
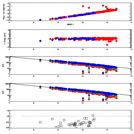
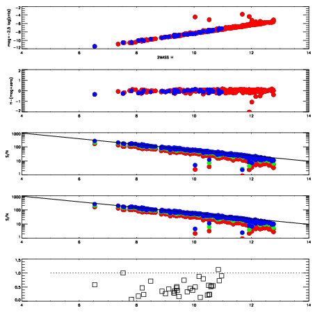
| Frame | Nreads | Zeropoints | Mag plots
| Spatial mag deviation
| Spatial sky 16325A emission deviations (filled: sky, open: star)
| Spatial sky continuum emission
| Spatial sky telluric CO2 absorption deviations (filled: H < 10)
|
| 8470071
| 47
| | Red | Green | Blue
| | z | | 18.49
| | znorm | | 14.31
| | sky | 15.3 | 14.7 | 14.8
| | S/N | 10.0 | 17.5 | 19.4
| | S/N(c) | 8.4 | 16.2 | 17.9
| | SN(E/C) | 0.42
|
|
|
|
|
|
|
| 8470072
| 47
| | Red | Green | Blue
| | z | | 18.48
| | znorm | | 14.30
| | sky | 14.7 | 14.6 | 15.0
| | S/N | 9.8 | 17.3 | 19.5
| | S/N(c) | 8.4 | 16.1 | 18.0
| | SN(E/C) | 0.45
|
|
|
|
|
|
|
| 8470073
| 47
| | Red | Green | Blue
| | z | | 18.49
| | znorm | | 14.31
| | sky | 15.1 | 14.7 | 15.0
| | S/N | 9.9 | 17.3 | 18.9
| | S/N(c) | 8.5 | 15.9 | 17.5
| | SN(E/C) | 0.44
|
|
|
|
|
|
|
| 8470074
| 47
| | Red | Green | Blue
| | z | | 18.64
| | znorm | | 14.46
| | sky | 14.7 | 14.7 | 14.9
| | S/N | 10.9 | 19.1 | 21.3
| | S/N(c) | 9.6 | 17.6 | 19.3
| | SN(E/C) | 0.39
|
|
|
|
|
|
|
| 8470075
| 47
| | Red | Green | Blue
| | z | | 18.44
| | znorm | | 14.26
| | sky | 14.9 | 14.7 | 15.0
| | S/N | 9.6 | 17.1 | 18.0
| | S/N(c) | 8.5 | 15.6 | 16.5
| | SN(E/C) | 0.42
|
|
|
|
|
|
|
| 8470076
| 47
| | Red | Green | Blue
| | z | | 18.30
| | znorm | | 14.12
| | sky | 15.2 | 14.8 | 15.0
| | S/N | 8.7 | 15.5 | 16.8
| | S/N(c) | 7.3 | 14.5 | 15.2
| | SN(E/C) | 0.45
|
|
|
|
|
|
|
| 8470077
| 47
| | Red | Green | Blue
| | z | | 18.32
| | znorm | | 14.14
| | sky | 14.8 | 14.8 | 15.1
| | S/N | 8.9 | 16.0 | 17.2
| | S/N(c) | 7.7 | 14.7 | 15.4
| | SN(E/C) | 0.45
|
|
|
|
|
|
|
| 8470078
| 47
| | Red | Green | Blue
| | z | | 18.54
| | znorm | | 14.36
| | sky | 15.0 | 14.6 | 15.0
| | S/N | 10.4 | 18.0 | 19.1
| | S/N(c) | 9.0 | 16.7 | 17.8
| | SN(E/C) | 0.41
|
|
|
|
|
|
|