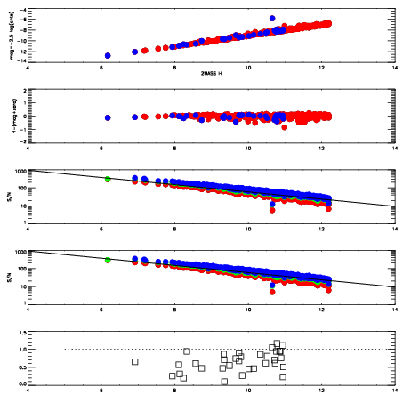
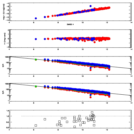
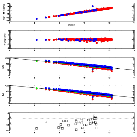
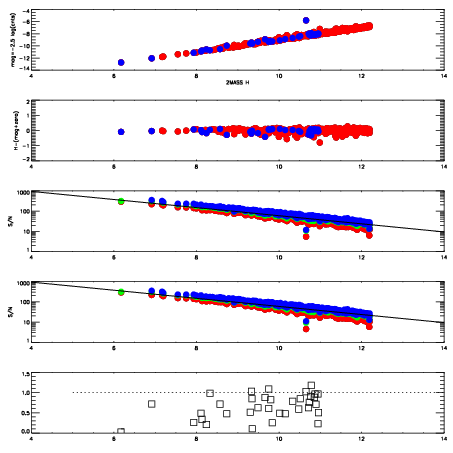
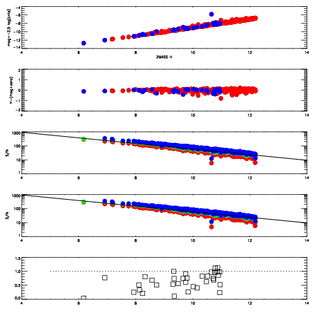
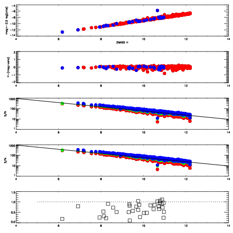
| Frame | Nreads | Zeropoints | Mag plots
| Spatial mag deviation
| Spatial sky 16325A emission deviations (filled: sky, open: star)
| Spatial sky continuum emission
| Spatial sky telluric CO2 absorption deviations (filled: H < 10)
|
| 8420059
| 47
| | Red | Green | Blue
| | z | | 18.99
| | znorm | | 14.81
| | sky | 14.7 | 14.4 | 14.6
| | S/N | 13.5 | 22.5 | 25.1
| | S/N(c) | 12.0 | 20.9 | 24.0
| | SN(E/C) | 0.71
|
|
|
|
|
|
|
| 8420060
| 47
| | Red | Green | Blue
| | z | | 18.97
| | znorm | | 14.79
| | sky | 14.8 | 14.6 | 14.7
| | S/N | 13.1 | 21.9 | 24.5
| | S/N(c) | 11.7 | 20.6 | 23.5
| | SN(E/C) | 0.72
|
|
|
|
|
|
|
| 8420061
| 47
| | Red | Green | Blue
| | z | | 18.94
| | znorm | | 14.76
| | sky | 14.8 | 14.6 | 14.9
| | S/N | 13.2 | 21.9 | 24.0
| | S/N(c) | 11.4 | 20.3 | 23.0
| | SN(E/C) | 0.67
|
|
|
|
|
|
|
| 8420062
| 47
| | Red | Green | Blue
| | z | | 18.94
| | znorm | | 14.76
| | sky | 15.0 | 14.7 | 14.9
| | S/N | 13.2 | 21.6 | 24.4
| | S/N(c) | 11.7 | 20.3 | 23.2
| | SN(E/C) | 0.73
|
|
|
|
|
|
|
| 8420063
| 47
| | Red | Green | Blue
| | z | | 19.00
| | znorm | | 14.82
| | sky | 14.7 | 14.7 | 15.0
| | S/N | 13.4 | 22.3 | 25.0
| | S/N(c) | 12.0 | 20.8 | 23.5
| | SN(E/C) | 0.68
|
|
|
|
|
|
|
| 8420064
| 47
| | Red | Green | Blue
| | z | | 19.05
| | znorm | | 14.87
| | sky | 14.8 | 14.6 | 14.8
| | S/N | 13.8 | 23.2 | 25.8
| | S/N(c) | 12.3 | 21.7 | 24.5
| | SN(E/C) | 0.67
|
|
|
|
|
|
|
| 8420065
| 47
| | Red | Green | Blue
| | z | | 19.03
| | znorm | | 14.85
| | sky | 14.7 | 14.7 | 14.9
| | S/N | 13.4 | 23.1 | 25.0
| | S/N(c) | 12.1 | 21.6 | 23.9
| | SN(E/C) | 0.66
|
|
|
|
|
|
|
| 8420066
| 47
| | Red | Green | Blue
| | z | | 19.03
| | znorm | | 14.85
| | sky | 14.8 | 14.7 | 14.9
| | S/N | 13.5 | 23.2 | 25.0
| | S/N(c) | 12.3 | 21.6 | 23.8
| | SN(E/C) | 0.70
|
|
|
|
|
|
|