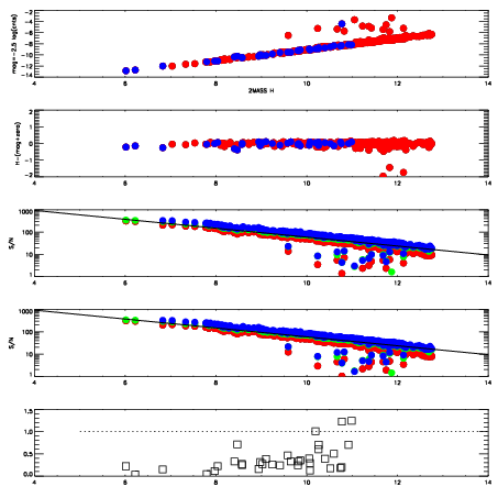
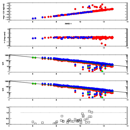
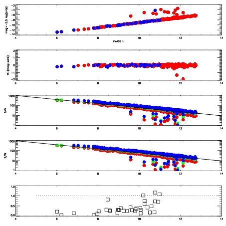
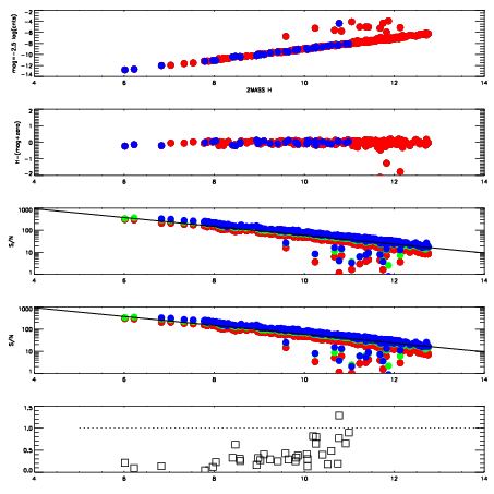
| Frame | Nreads | Zeropoints | Mag plots
| Spatial mag deviation
| Spatial sky 16325A emission deviations (filled: sky, open: star)
| Spatial sky continuum emission
| Spatial sky telluric CO2 absorption deviations (filled: H < 10)
|
| 8160036
| 47
| | Red | Green | Blue
| | z | | 19.03
| | znorm | | 14.85
| | sky | 15.0 | 14.5 | 14.9
| | S/N | 15.0 | 24.6 | 27.4
| | S/N(c) | 13.3 | 23.1 | 25.9
| | SN(E/C) | 0.30
|
|
|
|
|
|
|
| 8160037
| 47
| | Red | Green | Blue
| | z | | 19.08
| | znorm | | 14.90
| | sky | 14.6 | 14.5 | 15.0
| | S/N | 15.1 | 25.3 | 27.9
| | S/N(c) | 13.6 | 23.8 | 26.5
| | SN(E/C) | 0.30
|
|
|
|
|
|
|
| 8160038
| 47
| | Red | Green | Blue
| | z | | 19.08
| | znorm | | 14.90
| | sky | 14.7 | 14.6 | 15.0
| | S/N | 15.1 | 25.4 | 27.9
| | S/N(c) | 13.6 | 23.9 | 26.7
| | SN(E/C) | 0.30
|
|
|
|
|
|
|
| 8160039
| 47
| | Red | Green | Blue
| | z | | 19.12
| | znorm | | 14.94
| | sky | 14.7 | 14.7 | 14.8
| | S/N | 15.5 | 26.0 | 28.3
| | S/N(c) | 13.8 | 24.5 | 26.9
| | SN(E/C) | 0.29
|
|
|
|
|
|
|
| 8160040
| 47
| | Red | Green | Blue
| | z | | 19.10
| | znorm | | 14.92
| | sky | 14.7 | 14.7 | 14.8
| | S/N | 15.3 | 25.8 | 28.0
| | S/N(c) | 13.9 | 24.5 | 26.9
| | SN(E/C) | 0.29
|
|
|
|
|
|
|
| 8160041
| 47
| | Red | Green | Blue
| | z | | 19.09
| | znorm | | 14.91
| | sky | 14.5 | 14.7 | 14.9
| | S/N | 15.0 | 25.8 | 28.1
| | S/N(c) | 13.5 | 23.8 | 26.4
| | SN(E/C) | 0.30
|
|
|
|
|
|
|
| 8160042
| 47
| | Red | Green | Blue
| | z | | 19.08
| | znorm | | 14.90
| | sky | 14.9 | 14.7 | 14.9
| | S/N | 15.2 | 26.0 | 28.1
| | S/N(c) | 13.6 | 23.9 | 26.5
| | SN(E/C) | 0.29
|
|
|
|
|
|
|
| 8160043
| 47
| | Red | Green | Blue
| | z | | 19.07
| | znorm | | 14.89
| | sky | 14.7 | 14.7 | 14.9
| | S/N | 15.3 | 25.8 | 28.0
| | S/N(c) | 13.4 | 23.8 | 26.5
| | SN(E/C) | 0.30
|
|
|
|
|
|
|