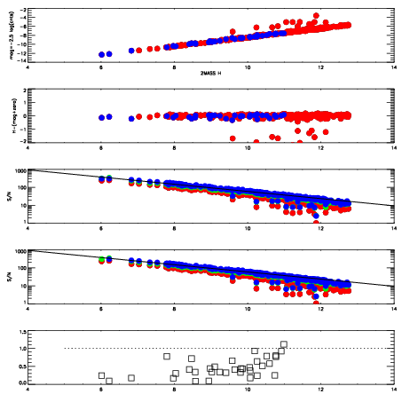
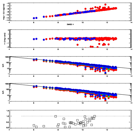
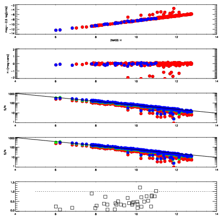
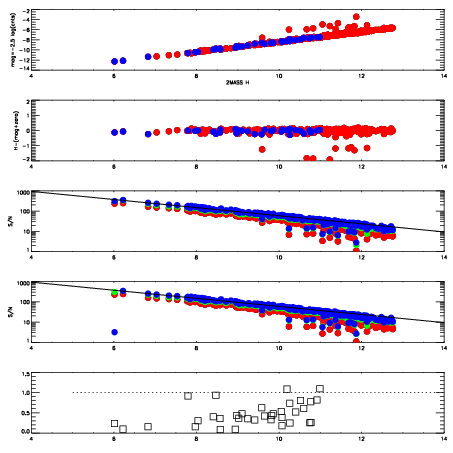
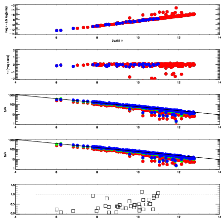
| Frame | Nreads | Zeropoints | Mag plots
| Spatial mag deviation
| Spatial sky 16325A emission deviations (filled: sky, open: star)
| Spatial sky continuum emission
| Spatial sky telluric CO2 absorption deviations (filled: H < 10)
|
| 8470082
| 47
| | Red | Green | Blue
| | z | | 18.40
| | znorm | | 14.22
| | sky | 15.0 | 14.4 | 14.4
| | S/N | 9.6 | 16.4 | 18.1
| | S/N(c) | 8.1 | 15.0 | 16.3
| | SN(E/C) | 0.42
|
|
|
|
|
|
|
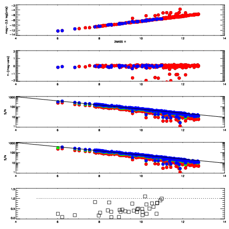
| 8470083
| 47
| | Red | Green | Blue
| | z | | 18.42
| | znorm | | 14.24
| | sky | 14.8 | 14.4 | 14.8
| | S/N | 9.5 | 16.8 | 18.3
| | S/N(c) | 8.0 | 15.4 | 16.8
| | SN(E/C) | 0.40
|
|
|
|
|
|
|
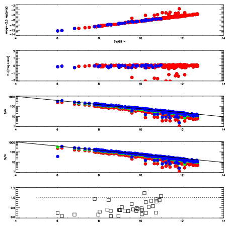
| 8470084
| 47
| | Red | Green | Blue
| | z | | 18.42
| | znorm | | 14.24
| | sky | 14.7 | 14.5 | 14.7
| | S/N | 9.8 | 17.1 | 18.3
| | S/N(c) | 8.4 | 15.6 | 16.7
| | SN(E/C) | 0.40
|
|
|
|
|
|
|
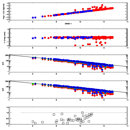
| 8470085
| 47
| | Red | Green | Blue
| | z | | 18.54
| | znorm | | 14.36
| | sky | 14.8 | 14.5 | 14.8
| | S/N | 10.4 | 18.3 | 19.5
| | S/N(c) | 8.8 | 16.7 | 18.0
| | SN(E/C) | 0.40
|
|
|
|
|
|
|
| 8470086
| 47
| | Red | Green | Blue
| | z | | 18.46
| | znorm | | 14.28
| | sky | 14.9 | 14.6 | 14.8
| | S/N | 10.0 | 17.4 | 18.7
| | S/N(c) | 8.5 | 16.1 | 17.3
| | SN(E/C) | 0.41
|
|
|
|
|
|
|
| 8470087
| 47
| | Red | Green | Blue
| | z | | 18.55
| | znorm | | 14.37
| | sky | 14.9 | 14.6 | 14.8
| | S/N | 10.5 | 18.5 | 19.8
| | S/N(c) | 9.1 | 16.9 | 18.5
| | SN(E/C) | 0.40
|
|
|
|
|
|
|
| 8470088
| 47
| | Red | Green | Blue
| | z | | 18.48
| | znorm | | 14.30
| | sky | 15.1 | 14.6 | 14.8
| | S/N | 10.2 | 17.7 | 18.8
| | S/N(c) | 8.6 | 16.4 | 17.5
| | SN(E/C) | 0.40
|
|
|
|
|
|
|
| 8470089
| 47
| | Red | Green | Blue
| | z | | 18.42
| | znorm | | 14.24
| | sky | 14.9 | 14.7 | 14.9
| | S/N | 9.6 | 17.2 | 18.0
| | S/N(c) | 8.4 | 15.8 | 16.8
| | SN(E/C) | 0.42
|
|
|
|
|
|
|