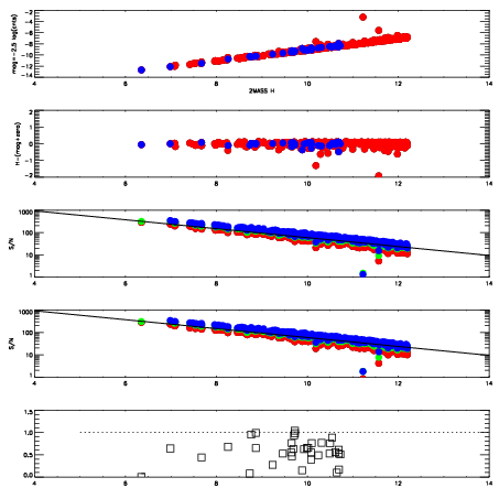
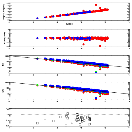
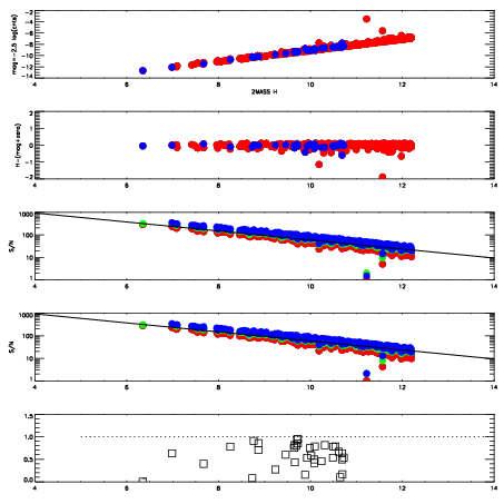
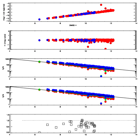
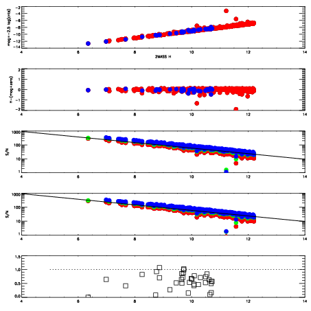
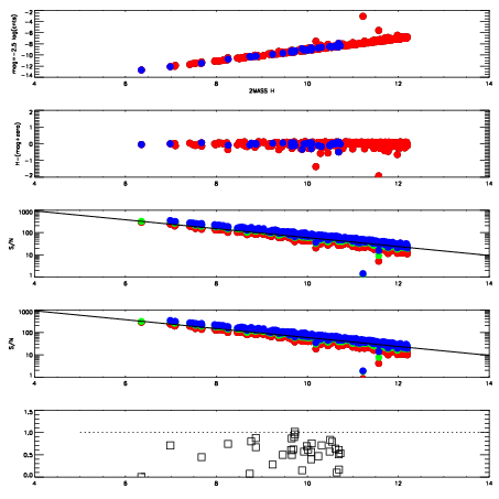
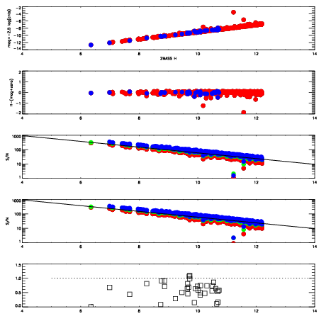
| Frame | Nreads | Zeropoints | Mag plots
| Spatial mag deviation
| Spatial sky 16325A emission deviations (filled: sky, open: star)
| Spatial sky continuum emission
| Spatial sky telluric CO2 absorption deviations (filled: H < 10)
|
| 8730044
| 47
| | Red | Green | Blue
| | z | | 18.95
| | znorm | | 14.77
| | sky | 14.4 | 14.2 | 14.3
| | S/N | 13.7 | 22.0 | 25.9
| | S/N(c) | 12.3 | 20.4 | 24.9
| | SN(E/C) | 0.65
|
|
|
|
|
|
|
| 8730045
| 47
| | Red | Green | Blue
| | z | | 19.02
| | znorm | | 14.84
| | sky | 14.6 | 14.3 | 14.7
| | S/N | 14.6 | 22.7 | 27.7
| | S/N(c) | 12.9 | 21.3 | 26.0
| | SN(E/C) | 0.65
|
|
|
|
|
|
|
| 8730046
| 47
| | Red | Green | Blue
| | z | | 19.08
| | znorm | | 14.90
| | sky | 14.5 | 14.3 | 14.6
| | S/N | 14.9 | 23.9 | 27.9
| | S/N(c) | 13.2 | 22.3 | 26.2
| | SN(E/C) | 0.61
|
|
|
|
|
|
|
| 8730047
| 47
| | Red | Green | Blue
| | z | | 19.07
| | znorm | | 14.89
| | sky | 14.7 | 14.4 | 14.7
| | S/N | 15.0 | 23.8 | 27.7
| | S/N(c) | 13.4 | 22.2 | 26.1
| | SN(E/C) | 0.61
|
|
|
|
|
|
|
| 8730048
| 47
| | Red | Green | Blue
| | z | | 19.06
| | znorm | | 14.88
| | sky | 14.5 | 14.5 | 14.7
| | S/N | 14.5 | 23.7 | 27.1
| | S/N(c) | 12.9 | 22.0 | 25.5
| | SN(E/C) | 0.63
|
|
|
|
|
|
|
| 8730049
| 47
| | Red | Green | Blue
| | z | | 19.06
| | znorm | | 14.88
| | sky | 14.7 | 14.6 | 14.8
| | S/N | 14.7 | 23.9 | 26.9
| | S/N(c) | 13.1 | 22.2 | 25.4
| | SN(E/C) | 0.63
|
|
|
|
|
|
|
| 8730050
| 47
| | Red | Green | Blue
| | z | | 19.04
| | znorm | | 14.86
| | sky | 14.9 | 14.7 | 14.9
| | S/N | 14.2 | 23.7 | 26.6
| | S/N(c) | 12.7 | 22.1 | 25.0
| | SN(E/C) | 0.62
|
|
|
|
|
|
|
| 8730051
| 47
| | Red | Green | Blue
| | z | | 19.06
| | znorm | | 14.88
| | sky | 14.6 | 14.6 | 14.9
| | S/N | 14.3 | 23.9 | 26.9
| | S/N(c) | 12.8 | 22.1 | 25.5
| | SN(E/C) | 0.63
|
|
|
|
|
|
|