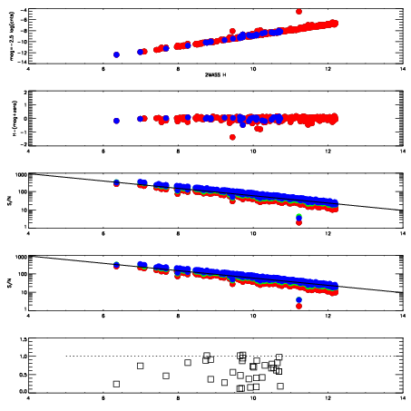
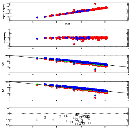
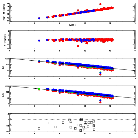
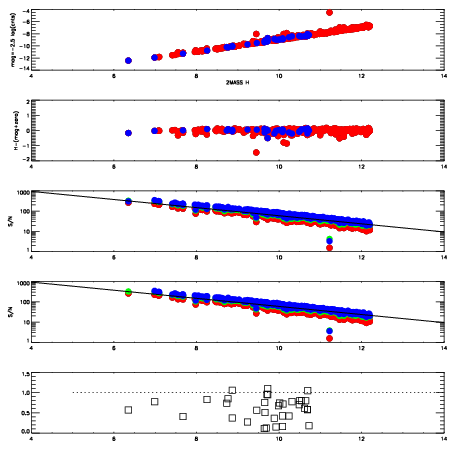
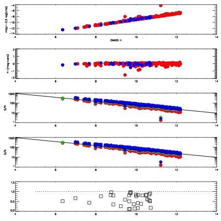
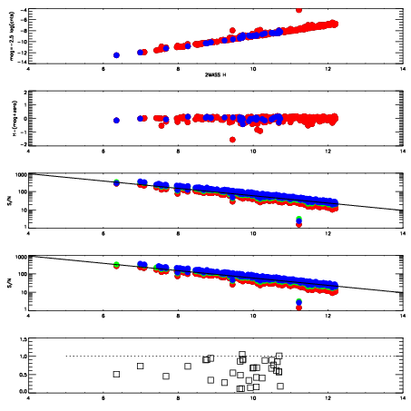
| Frame | Nreads | Zeropoints | Mag plots
| Spatial mag deviation
| Spatial sky 16325A emission deviations (filled: sky, open: star)
| Spatial sky continuum emission
| Spatial sky telluric CO2 absorption deviations (filled: H < 10)
|
| 9080026
| 47
| | Red | Green | Blue
| | z | | 18.97
| | znorm | | 14.79
| | sky | 14.3 | 14.1 | 14.1
| | S/N | 13.8 | 22.2 | 24.4
| | S/N(c) | 12.4 | 21.0 | 23.7
| | SN(E/C) | 0.67
|
|
|
|
|
|
|
| 9080027
| 47
| | Red | Green | Blue
| | z | | 19.00
| | znorm | | 14.82
| | sky | 14.3 | 14.2 | 14.4
| | S/N | 14.3 | 22.5 | 25.3
| | S/N(c) | 12.8 | 21.2 | 24.4
| | SN(E/C) | 0.67
|
|
|
|
|
|
|
| 9080028
| 47
| | Red | Green | Blue
| | z | | 18.93
| | znorm | | 14.75
| | sky | 14.0 | 14.2 | 14.4
| | S/N | 13.3 | 21.7 | 24.4
| | S/N(c) | 12.0 | 20.5 | 23.5
| | SN(E/C) | 0.68
|
|
|
|
|
|
|
| 9080029
| 47
| | Red | Green | Blue
| | z | | 18.89
| | znorm | | 14.71
| | sky | 14.3 | 14.2 | 14.4
| | S/N | 12.9 | 21.2 | 24.1
| | S/N(c) | 11.7 | 19.9 | 22.8
| | SN(E/C) | 0.64
|
|
|
|
|
|
|
| 9080030
| 47
| | Red | Green | Blue
| | z | | 18.89
| | znorm | | 14.71
| | sky | 14.2 | 14.2 | 14.5
| | S/N | 13.1 | 21.4 | 23.9
| | S/N(c) | 11.7 | 20.0 | 22.6
| | SN(E/C) | 0.67
|
|
|
|
|
|
|
| 9080031
| 47
| | Red | Green | Blue
| | z | | 18.96
| | znorm | | 14.78
| | sky | 14.2 | 14.3 | 14.4
| | S/N | 13.8 | 22.2 | 25.0
| | S/N(c) | 12.5 | 20.9 | 24.1
| | SN(E/C) | 0.67
|
|
|
|
|
|
|
| 9080032
| 47
| | Red | Green | Blue
| | z | | 19.02
| | znorm | | 14.84
| | sky | 14.3 | 14.2 | 14.4
| | S/N | 14.1 | 22.8 | 25.8
| | S/N(c) | 12.7 | 21.4 | 24.6
| | SN(E/C) | 0.61
|
|
|
|
|
|
|
| 9080033
| 47
| | Red | Green | Blue
| | z | | 19.01
| | znorm | | 14.83
| | sky | 14.0 | 14.3 | 14.4
| | S/N | 13.9 | 22.5 | 25.4
| | S/N(c) | 12.8 | 21.2 | 24.0
| | SN(E/C) | 0.65
|
|
|
|
|
|
|