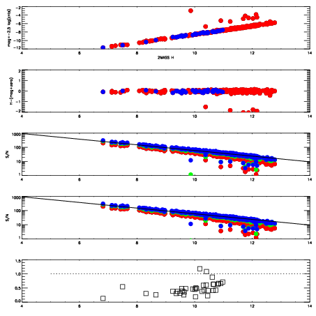
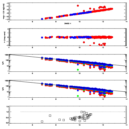
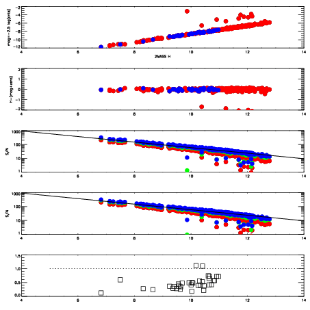
| Frame | Nreads | Zeropoints | Mag plots
| Spatial mag deviation
| Spatial sky 16325A emission deviations (filled: sky, open: star)
| Spatial sky continuum emission
| Spatial sky telluric CO2 absorption deviations (filled: H < 10)
|
| 7830071
| 47
| | Red | Green | Blue
| | z | | 18.71
| | znorm | | 14.53
| | sky | 15.9 | 14.8 | 14.7
| | S/N | 12.8 | 20.7 | 23.5
| | S/N(c) | 11.1 | 19.3 | 22.4
| | SN(E/C) | 0.43
|
|
|
|
|
|
|
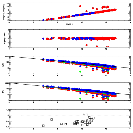
| 7830072
| 47
| | Red | Green | Blue
| | z | | 18.65
| | znorm | | 14.47
| | sky | 15.4 | 14.9 | 15.3
| | S/N | 12.0 | 19.9 | 22.7
| | S/N(c) | 10.3 | 18.6 | 21.9
| | SN(E/C) | 0.42
|
|
|
|
|
|
|
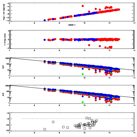
| 7830073
| 47
| | Red | Green | Blue
| | z | | 18.32
| | znorm | | 14.14
| | sky | 15.7 | 14.9 | 15.5
| | S/N | 9.5 | 16.8 | 19.0
| | S/N(c) | 8.3 | 15.6 | 17.9
| | SN(E/C) | 0.48
|
|
|
|
|
|
|
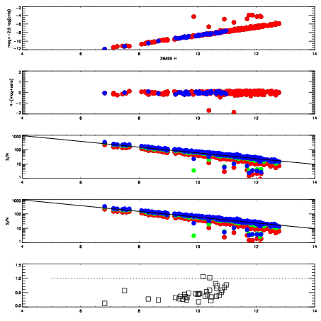
| 7830074
| 47
| | Red | Green | Blue
| | z | | 18.37
| | znorm | | 14.19
| | sky | 15.4 | 15.1 | 15.4
| | S/N | 9.7 | 17.5 | 19.5
| | S/N(c) | 8.6 | 16.1 | 18.3
| | SN(E/C) | 0.50
|
|
|
|
|
|
|
| 7830075
| 47
| | Red | Green | Blue
| | z | | 18.52
| | znorm | | 14.34
| | sky | 15.6 | 15.0 | 15.4
| | S/N | 11.1 | 18.6 | 21.1
| | S/N(c) | 9.6 | 17.2 | 20.0
| | SN(E/C) | 0.45
|
|
|
|
|
|
|
| 7830076
| 47
| | Red | Green | Blue
| | z | | 18.56
| | znorm | | 14.37
| | sky | 15.4 | 15.1 | 15.3
| | S/N | 11.2 | 19.2 | 21.0
| | S/N(c) | 9.9 | 17.9 | 19.8
| | SN(E/C) | 0.45
|
|
|
|
|
|
|
| 7830077
| 47
| | Red | Green | Blue
| | z | | 18.58
| | znorm | | 14.40
| | sky | 15.6 | 15.1 | 15.3
| | S/N | 11.4 | 19.4 | 21.3
| | S/N(c) | 10.0 | 18.0 | 20.2
| | SN(E/C) | 0.45
|
|
|
|
|
|
|
| 7830078
| 47
| | Red | Green | Blue
| | z | | 18.64
| | znorm | | 14.46
| | sky | 15.8 | 15.1 | 15.3
| | S/N | 11.8 | 20.2 | 21.9
| | S/N(c) | 10.5 | 18.7 | 20.9
| | SN(E/C) | 0.42
|
|
|
|
|
|
|