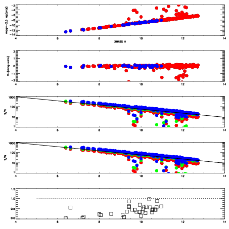
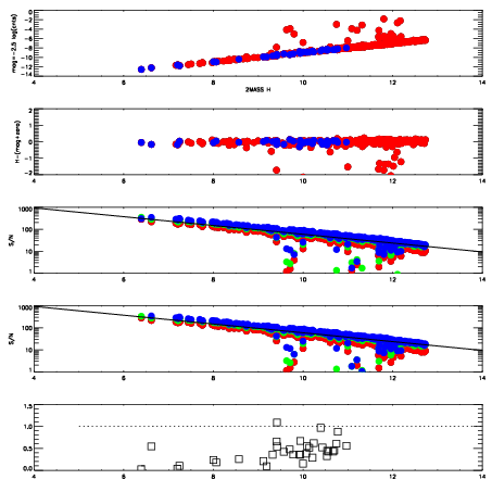
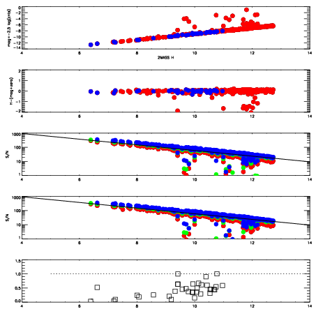
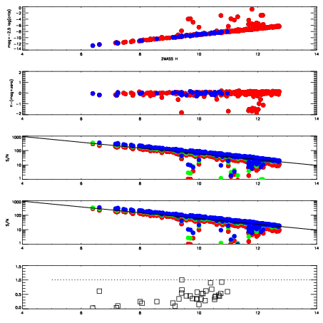
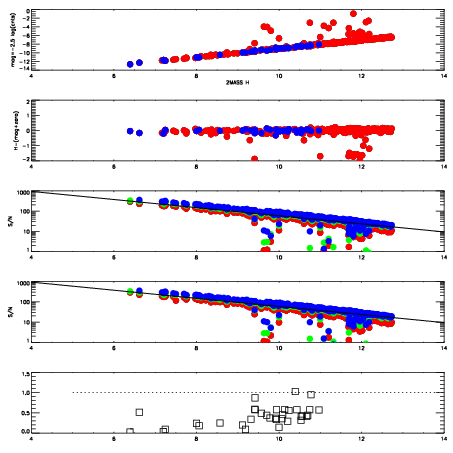
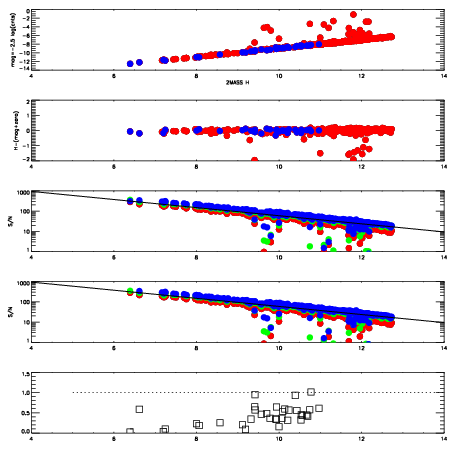
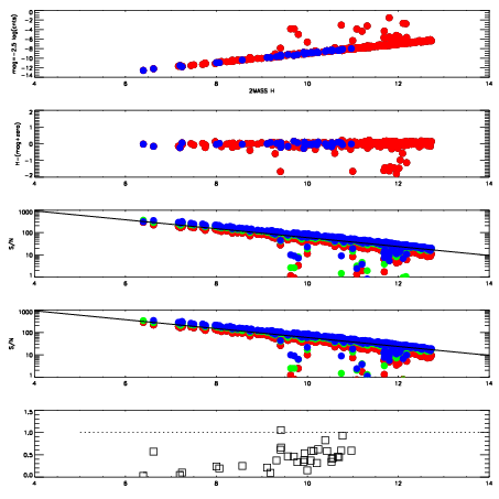
| Frame | Nreads | Zeropoints | Mag plots
| Spatial mag deviation
| Spatial sky 16325A emission deviations (filled: sky, open: star)
| Spatial sky continuum emission
| Spatial sky telluric CO2 absorption deviations (filled: H < 10)
|
| 8400048
| 47
| | Red | Green | Blue
| | z | | 18.98
| | znorm | | 14.80
| | sky | 15.2 | 14.5 | 14.5
| | S/N | 14.5 | 23.2 | 26.7
| | S/N(c) | 13.0 | 21.8 | 25.9
| | SN(E/C) | 0.44
|
|
|
|
|
|
|
| 8400049
| 47
| | Red | Green | Blue
| | z | | 19.02
| | znorm | | 14.84
| | sky | 15.4 | 14.7 | 14.8
| | S/N | 14.8 | 24.0 | 26.8
| | S/N(c) | 13.2 | 22.4 | 26.2
| | SN(E/C) | 0.45
|
|
|
|
|
|
|
| 8400050
| 47
| | Red | Green | Blue
| | z | | 19.05
| | znorm | | 14.87
| | sky | 15.3 | 14.9 | 14.9
| | S/N | 14.7 | 24.0 | 26.6
| | S/N(c) | 13.1 | 22.3 | 26.0
| | SN(E/C) | 0.42
|
|
|
|
|
|
|
| 8400051
| 47
| | Red | Green | Blue
| | z | | 18.99
| | znorm | | 14.80
| | sky | 15.3 | 14.8 | 14.9
| | S/N | 14.5 | 23.4 | 25.5
| | S/N(c) | 12.9 | 21.7 | 25.0
| | SN(E/C) | 0.43
|
|
|
|
|
|
|
| 8400052
| 47
| | Red | Green | Blue
| | z | | 19.03
| | znorm | | 14.85
| | sky | 14.9 | 14.8 | 15.0
| | S/N | 15.0 | 24.1 | 26.7
| | S/N(c) | 13.4 | 22.4 | 25.3
| | SN(E/C) | 0.44
|
|
|
|
|
|
|
| 8400053
| 47
| | Red | Green | Blue
| | z | | 19.05
| | znorm | | 14.87
| | sky | 14.9 | 14.9 | 14.9
| | S/N | 14.9 | 24.3 | 27.0
| | S/N(c) | 13.6 | 22.6 | 25.7
| | SN(E/C) | 0.41
|
|
|
|
|
|
|
| 8400054
| 47
| | Red | Green | Blue
| | z | | 19.00
| | znorm | | 14.81
| | sky | 15.2 | 14.8 | 14.8
| | S/N | 14.8 | 23.6 | 26.5
| | S/N(c) | 13.3 | 21.8 | 25.2
| | SN(E/C) | 0.44
|
|
|
|
|
|
|
| 8400055
| 47
| | Red | Green | Blue
| | z | | 18.97
| | znorm | | 14.79
| | sky | 14.9 | 14.9 | 14.9
| | S/N | 14.5 | 23.3 | 26.2
| | S/N(c) | 13.2 | 21.6 | 24.8
| | SN(E/C) | 0.43
|
|
|
|
|
|
|