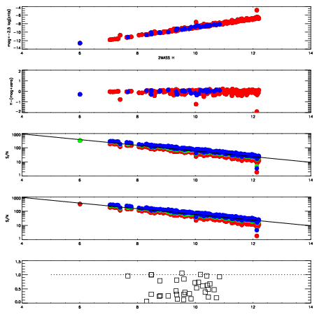
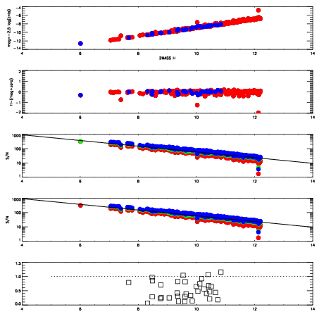
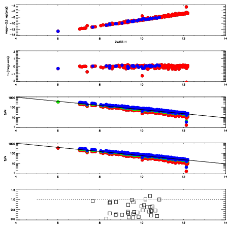
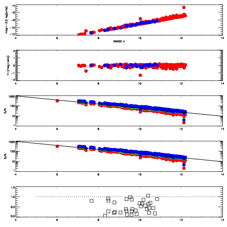
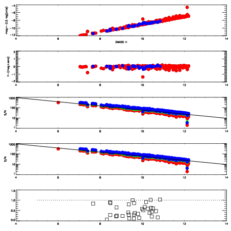
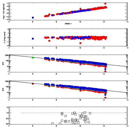
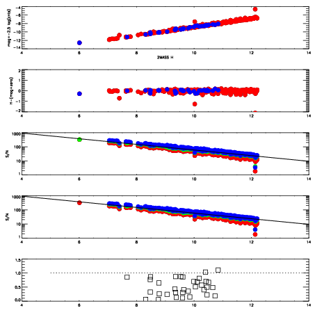
Frame | Nreads | Zeropoints | Mag plots
| Spatial mag deviation
| Spatial sky 16325A emission deviations (filled: sky, open: star)
| Spatial sky continuum emission
| Spatial sky telluric CO2 absorption deviations (filled: H < 10)
|
8160047
| 47
| | Red | Green | Blue
| z | | 18.89
| znorm | | 14.71
| sky | 15.0 | 14.4 | 14.5
| S/N | 12.8 | 21.5 | 23.5
| S/N(c) | 11.0 | 19.8 | 22.6
| SN(E/C) | 0.48
|
|
|
|
|
|
|
8160048
| 47
| | Red | Green | Blue
| z | | 18.91
| znorm | | 14.73
| sky | 14.7 | 14.4 | 14.6
| S/N | 13.2 | 22.4 | 24.4
| S/N(c) | 11.6 | 20.7 | 23.0
| SN(E/C) | 0.46
|
|
|
|
|
|
|
8160049
| 47
| | Red | Green | Blue
| z | | 18.91
| znorm | | 14.73
| sky | 14.7 | 14.4 | 14.7
| S/N | 13.2 | 22.5 | 24.5
| S/N(c) | 11.4 | 20.7 | 23.0
| SN(E/C) | 0.46
|
|
|
|
|
|
|
8160050
| 47
| | Red | Green | Blue
| z | | 18.89
| znorm | | 14.71
| sky | 14.7 | 14.6 | 14.6
| S/N | 13.1 | 22.4 | 24.6
| S/N(c) | 11.1 | 20.3 | 22.8
| SN(E/C) | 0.45
|
|
|
|
|
|
|
8160051
| 47
| | Red | Green | Blue
| z | | 18.86
| znorm | | 14.68
| sky | 14.4 | 14.4 | 14.5
| S/N | 13.0 | 22.0 | 24.4
| S/N(c) | 11.3 | 20.0 | 22.5
| SN(E/C) | 0.49
|
|
|
|
|
|
|
8160052
| 47
| | Red | Green | Blue
| z | | 18.83
| znorm | | 14.65
| sky | 14.5 | 14.4 | 14.4
| S/N | 12.7 | 21.2 | 23.7
| S/N(c) | 10.6 | 19.4 | 22.0
| SN(E/C) | 0.44
|
|
|
|
|
|
|
8160053
| 47
| | Red | Green | Blue
| z | | 19.04
| znorm | | 14.86
| sky | 14.5 | 14.6 | 14.6
| S/N | 14.7 | 23.8 | 26.5
| S/N(c) | 12.5 | 22.0 | 25.2
| SN(E/C) | 0.47
|
|
|
|
|
|
|
8160054
| 47
| | Red | Green | Blue
| z | | 19.01
| znorm | | 14.83
| sky | 14.8 | 14.6 | 14.5
| S/N | 14.4 | 23.9 | 26.1
| S/N(c) | 12.5 | 22.0 | 24.8
| SN(E/C) | 0.44
|
|
|
|
|
|
|