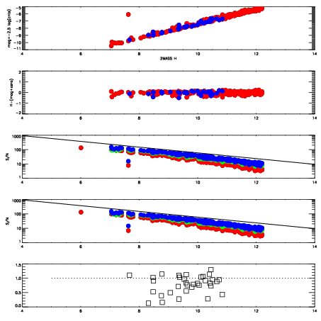
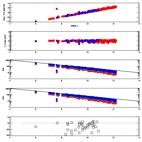
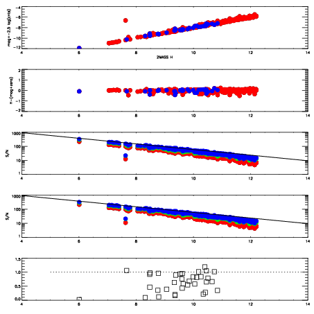
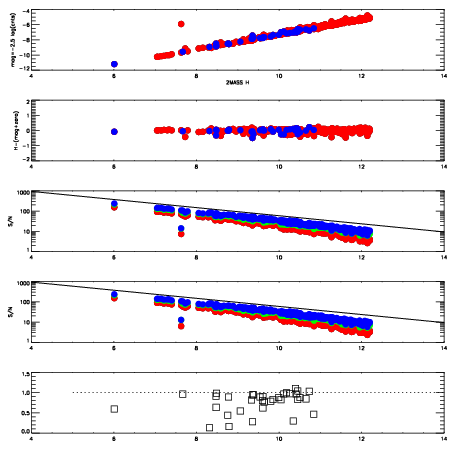
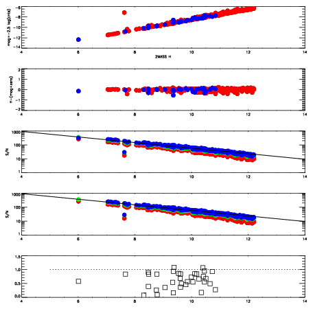
| Frame | Nreads | Zeropoints | Mag plots
| Spatial mag deviation
| Spatial sky 16325A emission deviations (filled: sky, open: star)
| Spatial sky continuum emission
| Spatial sky telluric CO2 absorption deviations (filled: H < 10)
|
| 8220033
| 47
| | Red | Green | Blue
| | z | | 18.19
| | znorm | | 14.01
| | sky | 14.7 | 14.5 | 14.3
| | S/N | 8.6 | 14.9 | 16.0
| | S/N(c) | 7.1 | 13.7 | 15.6
| | SN(E/C) | 0.69
|
|
|
|
|
|
|
| 8220034
| 47
| | Red | Green | Blue
| | z | | 18.17
| | znorm | | 13.99
| | sky | 14.6 | 14.4 | 14.6
| | S/N | 8.7 | 14.9 | 16.4
| | S/N(c) | 7.2 | 13.6 | 15.6
| | SN(E/C) | 0.65
|
|
|
|
|
|
|
| 8220035
| 47
| | Red | Green | Blue
| | z | | 17.71
| | znorm | | 13.53
| | sky | 14.4 | 14.3 | 14.6
| | S/N | 6.0 | 11.6 | 12.0
| | S/N(c) | 5.0 | 10.1 | 11.1
| | SN(E/C) | 0.79
|
|
|
|
|
|
|
| 8220036
| 47
| | Red | Green | Blue
| | z | | 17.40
| | znorm | | 13.22
| | sky | 14.5 | 14.3 | 14.6
| | S/N | 4.2 | 8.9 | 9.2
| | S/N(c) | 3.6 | 7.7 | 8.7
| | SN(E/C) | 0.84
|
|
|
|
|
|
|
| 8220037
| 47
| | Red | Green | Blue
| | z | | 17.99
| | znorm | | 13.81
| | sky | 14.5 | 14.4 | 14.4
| | S/N | 7.0 | 13.3 | 14.2
| | S/N(c) | 6.0 | 11.9 | 13.7
| | SN(E/C) | 0.66
|
|
|
|
|
|
|
| 8220038
| 47
| | Red | Green | Blue
| | z | | 17.28
| | znorm | | 13.10
| | sky | 14.4 | 14.4 | 14.6
| | S/N | 3.8 | 8.0 | 8.7
| | S/N(c) | 3.4 | 7.3 | 7.9
| | SN(E/C) | 0.84
|
|
|
|
|
|
|
| 8220039
| 47
| | Red | Green | Blue
| | z | | 17.83
| | znorm | | 13.65
| | sky | 14.4 | 14.4 | 14.5
| | S/N | 6.1 | 11.9 | 12.8
| | S/N(c) | 5.2 | 10.5 | 12.0
| | SN(E/C) | 0.81
|
|
|
|
|
|
|
| 8220040
| 47
| | Red | Green | Blue
| | z | | 18.50
| | znorm | | 14.32
| | sky | 14.6 | 14.5 | 14.4
| | S/N | 10.7 | 18.1 | 19.2
| | S/N(c) | 9.0 | 16.7 | 17.9
| | SN(E/C) | 0.66
|
|
|
|
|
|
|