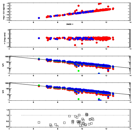
| Frame | Nreads | Zeropoints | Mag plots
| Spatial mag deviation
| Spatial sky 16325A emission deviations (filled: sky, open: star)
| Spatial sky continuum emission
| Spatial sky telluric CO2 absorption deviations (filled: H < 10)
|
| 8440036
| 47
| | Red | Green | Blue
| | z | | 18.64
| | znorm | | 14.46
| | sky | 14.9 | 14.5 | 14.7
| | S/N | 11.9 | 19.7 | 23.8
| | S/N(c) | 10.6 | 18.4 | 22.2
| | SN(E/C) | 0.44
|
|
|
|
|
|
|
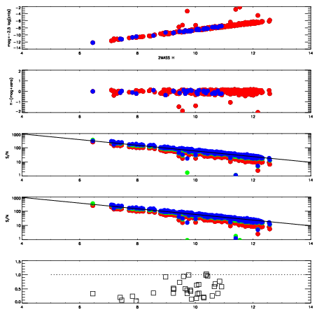
| 8440037
| 47
| | Red | Green | Blue
| | z | | 18.63
| | znorm | | 14.45
| | sky | 14.8 | 14.4 | 15.0
| | S/N | 12.0 | 19.8 | 23.2
| | S/N(c) | 10.4 | 18.5 | 21.5
| | SN(E/C) | 0.45
|
|
|
|
|
|
|
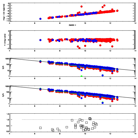
| 8440038
| 47
| | Red | Green | Blue
| | z | | 18.56
| | znorm | | 14.38
| | sky | 14.8 | 14.6 | 14.9
| | S/N | 11.3 | 18.9 | 22.2
| | S/N(c) | 9.8 | 17.5 | 20.6
| | SN(E/C) | 0.47
|
|
|
|
|
|
|
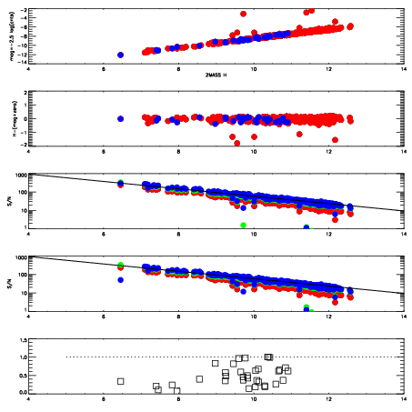
| 8440039
| 47
| | Red | Green | Blue
| | z | | 18.54
| | znorm | | 14.36
| | sky | 14.4 | 14.6 | 14.9
| | S/N | 11.1 | 18.7 | 21.6
| | S/N(c) | 9.8 | 17.2 | 19.9
| | SN(E/C) | 0.46
|
|
|
|
|
|
|
| 8440040
| 47
| | Red | Green | Blue
| | z | | 18.58
| | znorm | | 14.40
| | sky | 14.9 | 14.8 | 15.0
| | S/N | 11.3 | 19.2 | 21.8
| | S/N(c) | 9.8 | 17.4 | 20.1
| | SN(E/C) | 0.35
|
|
|
|
|
|
|
| 8440041
| 47
| | Red | Green | Blue
| | z | | 18.58
| | znorm | | 14.40
| | sky | 15.1 | 14.8 | 15.1
| | S/N | 11.6 | 19.3 | 21.5
| | S/N(c) | 9.9 | 17.5 | 20.1
| | SN(E/C) | 0.42
|
|
|
|
|
|
|
| 8440042
| 47
| | Red | Green | Blue
| | z | | 18.65
| | znorm | | 14.47
| | sky | 15.1 | 14.8 | 15.1
| | S/N | 11.9 | 20.0 | 22.4
| | S/N(c) | 10.4 | 18.4 | 20.8
| | SN(E/C) | 0.45
|
|
|
|
|
|
|
| 8440043
| 47
| | Red | Green | Blue
| | z | | 18.64
| | znorm | | 14.46
| | sky | 15.0 | 14.7 | 15.2
| | S/N | 11.9 | 20.2 | 22.2
| | S/N(c) | 10.6 | 18.2 | 20.5
| | SN(E/C) | 0.45
|
|
|
|
|
|
|