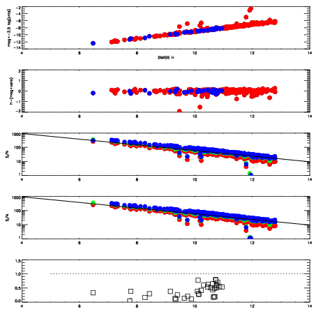
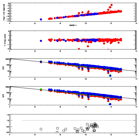
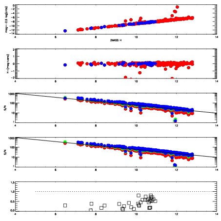
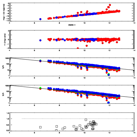
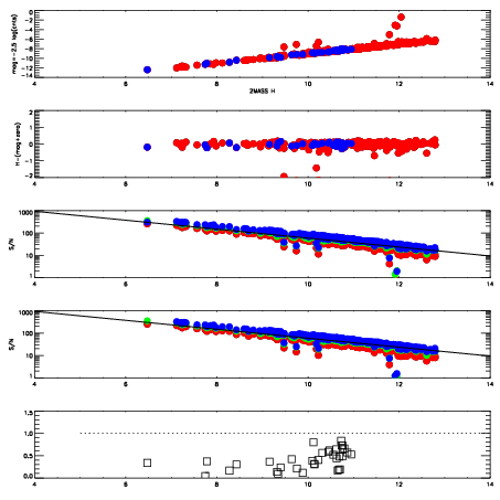
| Frame | Nreads | Zeropoints | Mag plots
| Spatial mag deviation
| Spatial sky 16325A emission deviations (filled: sky, open: star)
| Spatial sky continuum emission
| Spatial sky telluric CO2 absorption deviations (filled: H < 10)
|
| 7910049
| 47
| | Red | Green | Blue
| | z | | 19.05
| | znorm | | 14.87
| | sky | 15.4 | 14.4 | 14.4
| | S/N | 14.4 | 24.0 | 25.7
| | S/N(c) | 12.8 | 22.4 | 24.3
| | SN(E/C) | 0.38
|
|
|
|
|
|
|
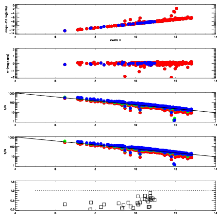
| 7910050
| 47
| | Red | Green | Blue
| | z | | 19.08
| | znorm | | 14.90
| | sky | 14.7 | 14.4 | 14.7
| | S/N | 14.4 | 24.5 | 26.6
| | S/N(c) | 12.5 | 22.7 | 25.0
| | SN(E/C) | 0.42
|
|
|
|
|
|
|
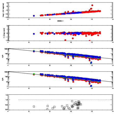
| 7910051
| 47
| | Red | Green | Blue
| | z | | 19.01
| | znorm | | 14.83
| | sky | 14.6 | 14.5 | 14.8
| | S/N | 13.9 | 23.7 | 25.6
| | S/N(c) | 12.2 | 22.1 | 24.1
| | SN(E/C) | 0.42
|
|
|
|
|
|
|
| 7910052
| 47
| | Red | Green | Blue
| | z | | 19.03
| | znorm | | 14.85
| | sky | 14.5 | 14.6 | 14.7
| | S/N | 14.4 | 24.0 | 25.9
| | S/N(c) | 12.4 | 22.1 | 24.1
| | SN(E/C) | 0.40
|
|
|
|
|
|
|
| 7910053
| 47
| | Red | Green | Blue
| | z | | 19.07
| | znorm | | 14.89
| | sky | 14.7 | 14.6 | 14.6
| | S/N | 14.4 | 24.5 | 26.3
| | S/N(c) | 12.7 | 22.7 | 24.8
| | SN(E/C) | 0.40
|
|
|
|
|
|
|
| 7910054
| 47
| | Red | Green | Blue
| | z | | 19.05
| | znorm | | 14.87
| | sky | 14.7 | 14.5 | 14.7
| | S/N | 14.5 | 24.8 | 26.4
| | S/N(c) | 12.7 | 22.7 | 24.7
| | SN(E/C) | 0.39
|
|
|
|
|
|
|
| 7910055
| 47
| | Red | Green | Blue
| | z | | 19.02
| | znorm | | 14.84
| | sky | 14.8 | 14.5 | 14.6
| | S/N | 14.2 | 24.0 | 25.8
| | S/N(c) | 12.5 | 22.1 | 24.3
| | SN(E/C) | 0.42
|
|
|
|
|
|
|
| 7910056
| 47
| | Red | Green | Blue
| | z | | 19.03
| | znorm | | 14.85
| | sky | 14.6 | 14.5 | 14.5
| | S/N | 14.3 | 24.0 | 25.9
| | S/N(c) | 12.3 | 21.9 | 24.3
| | SN(E/C) | 0.39
|
|
|
|
|
|
|