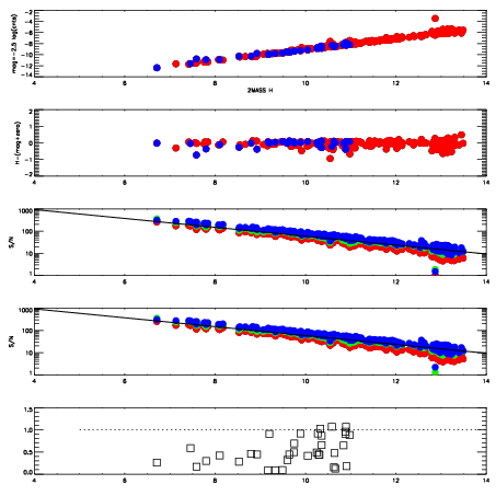
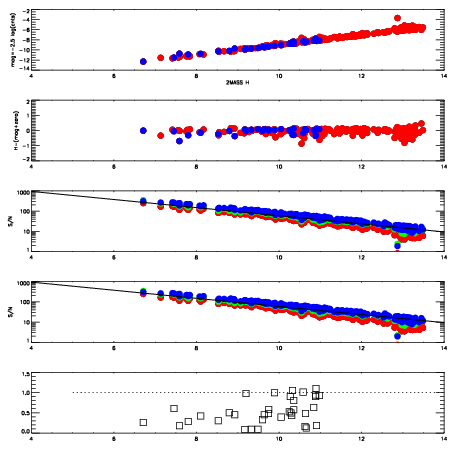
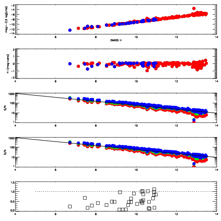
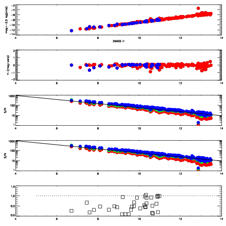
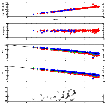
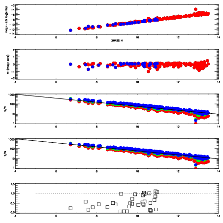
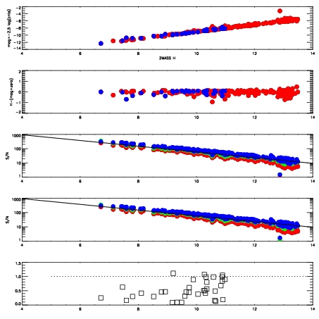
| Frame | Nreads | Zeropoints | Mag plots
| Spatial mag deviation
| Spatial sky 16325A emission deviations (filled: sky, open: star)
| Spatial sky continuum emission
| Spatial sky telluric CO2 absorption deviations (filled: H < 10)
|
| 7910060
| 47
| | Red | Green | Blue
| | z | | 19.09
| | znorm | | 14.91
| | sky | 15.0 | 14.7 | 14.5
| | S/N | 15.2 | 25.0 | 26.8
| | S/N(c) | 13.2 | 23.3 | 25.5
| | SN(E/C) | 0.46
|
|
|
|
|
|
|
| 7910061
| 47
| | Red | Green | Blue
| | z | | 19.03
| | znorm | | 14.85
| | sky | 14.9 | 14.5 | 14.9
| | S/N | 14.6 | 24.3 | 26.6
| | S/N(c) | 12.5 | 22.8 | 25.1
| | SN(E/C) | 0.46
|
|
|
|
|
|
|
| 7910062
| 47
| | Red | Green | Blue
| | z | | 18.99
| | znorm | | 14.81
| | sky | 14.8 | 14.7 | 14.9
| | S/N | 14.2 | 24.1 | 25.8
| | S/N(c) | 12.3 | 22.4 | 24.2
| | SN(E/C) | 0.48
|
|
|
|
|
|
|
| 7910063
| 47
| | Red | Green | Blue
| | z | | 18.96
| | znorm | | 14.78
| | sky | 14.9 | 14.6 | 14.8
| | S/N | 13.8 | 23.6 | 25.1
| | S/N(c) | 11.8 | 22.1 | 23.7
| | SN(E/C) | 0.49
|
|
|
|
|
|
|
| 7910064
| 47
| | Red | Green | Blue
| | z | | 19.07
| | znorm | | 14.89
| | sky | 14.9 | 14.7 | 14.8
| | S/N | 14.5 | 25.0 | 26.8
| | S/N(c) | 12.4 | 23.2 | 25.1
| | SN(E/C) | 0.47
|
|
|
|
|
|
|
| 7910065
| 47
| | Red | Green | Blue
| | z | | 19.07
| | znorm | | 14.89
| | sky | 14.6 | 14.6 | 14.8
| | S/N | 14.5 | 24.9 | 26.7
| | S/N(c) | 12.6 | 23.1 | 25.0
| | SN(E/C) | 0.48
|
|
|
|
|
|
|
| 7910066
| 47
| | Red | Green | Blue
| | z | | 19.02
| | znorm | | 14.84
| | sky | 14.9 | 14.7 | 14.8
| | S/N | 14.3 | 24.7 | 25.7
| | S/N(c) | 12.3 | 22.7 | 24.2
| | SN(E/C) | 0.48
|
|
|
|
|
|
|
| 7910067
| 47
| | Red | Green | Blue
| | z | | 19.00
| | znorm | | 14.82
| | sky | 15.1 | 14.8 | 14.7
| | S/N | 14.1 | 23.9 | 25.6
| | S/N(c) | 12.0 | 22.0 | 24.2
| | SN(E/C) | 0.49
|
|
|
|
|
|
|