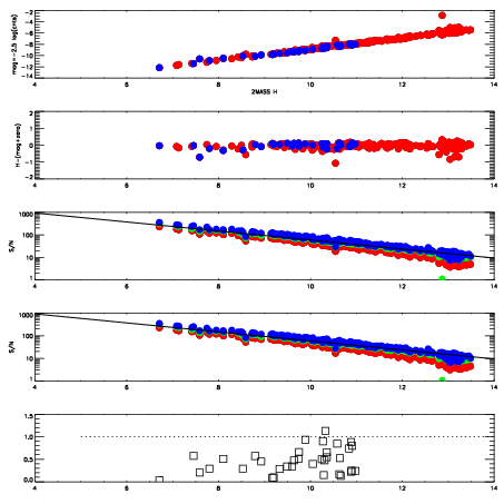
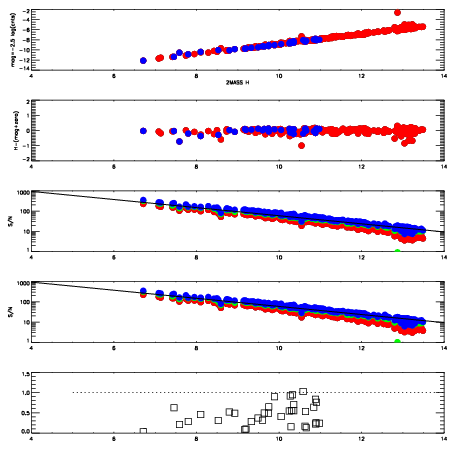
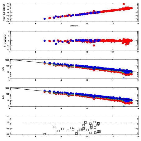
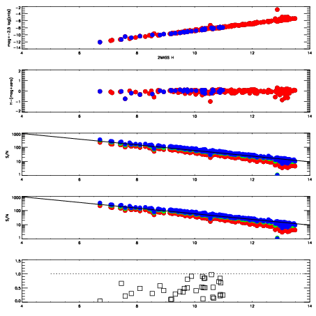
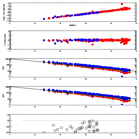
| Frame | Nreads | Zeropoints | Mag plots
| Spatial mag deviation
| Spatial sky 16325A emission deviations (filled: sky, open: star)
| Spatial sky continuum emission
| Spatial sky telluric CO2 absorption deviations (filled: H < 10)
|
| 8220022
| 47
| | Red | Green | Blue
| | z | | 18.82
| | znorm | | 14.64
| | sky | 15.0 | 14.7 | 14.7
| | S/N | 13.7 | 22.8 | 25.2
| | S/N(c) | 12.2 | 21.1 | 24.1
| | SN(E/C) | 0.46
|
|
|
|
|
|
|
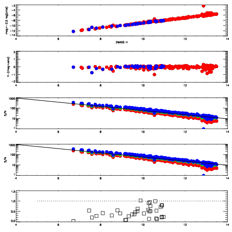
| 8220023
| 47
| | Red | Green | Blue
| | z | | 18.79
| | znorm | | 14.61
| | sky | 14.8 | 14.6 | 15.2
| | S/N | 13.3 | 22.1 | 25.3
| | S/N(c) | 11.9 | 20.5 | 23.8
| | SN(E/C) | 0.46
|
|
|
|
|
|
|
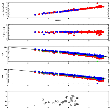
| 8220024
| 47
| | Red | Green | Blue
| | z | | 18.89
| | znorm | | 14.71
| | sky | 14.6 | 14.7 | 15.2
| | S/N | 14.5 | 23.3 | 26.9
| | S/N(c) | 12.7 | 21.3 | 25.4
| | SN(E/C) | 0.48
|
|
|
|
|
|
|
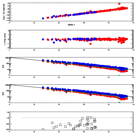
| 8220025
| 47
| | Red | Green | Blue
| | z | | 19.00
| | znorm | | 14.82
| | sky | 14.9 | 14.9 | 15.3
| | S/N | 15.4 | 24.7 | 28.6
| | S/N(c) | 13.7 | 22.8 | 27.0
| | SN(E/C) | 0.42
|
|
|
|
|
|
|
| 8220026
| 47
| | Red | Green | Blue
| | z | | 18.99
| | znorm | | 14.81
| | sky | 15.1 | 14.8 | 15.4
| | S/N | 15.3 | 24.8 | 28.5
| | S/N(c) | 13.6 | 22.8 | 26.9
| | SN(E/C) | 0.42
|
|
|
|
|
|
|
| 8220027
| 47
| | Red | Green | Blue
| | z | | 19.08
| | znorm | | 14.90
| | sky | 14.9 | 14.9 | 15.2
| | S/N | 16.3 | 25.8 | 29.7
| | S/N(c) | 14.6 | 23.8 | 28.1
| | SN(E/C) | 0.40
|
|
|
|
|
|
|
| 8220028
| 47
| | Red | Green | Blue
| | z | | 18.80
| | znorm | | 14.62
| | sky | 15.0 | 14.9 | 15.3
| | S/N | 13.3 | 21.9 | 25.5
| | S/N(c) | 11.7 | 20.1 | 23.9
| | SN(E/C) | 0.48
|
|
|
|
|
|
|
| 8220029
| 47
| | Red | Green | Blue
| | z | | 18.85
| | znorm | | 14.67
| | sky | 14.9 | 14.8 | 15.4
| | S/N | 13.6 | 22.5 | 26.0
| | S/N(c) | 12.1 | 20.6 | 24.5
| | SN(E/C) | 0.49
|
|
|
|
|
|
|