PLATE: 6864 MJD: 56411 FIELD: M107

FrameCartsec zseeingNreadsDitherPixshiftZerosky continuumS/NS/N(c)
8490037 3 1.49 1.30 47 0.00 0.00 18.90 [14.36,13.91,13.95] [ 14.5, 23.2, 26.6] [ 12.7, 21.3, 25.4]
8490038 3 1.47 1.34 47 0.59 0.00 18.95 [14.16,13.93,14.10] [ 15.2, 23.6, 25.9] [ 13.5, 21.8, 24.2]
8490039 3 1.46 1.19 47 0.59 -0.00 18.98 [14.16,13.97,14.07] [ 15.6, 23.7, 27.1] [ 13.6, 21.9, 25.3]
8490040 3 1.45 1.22 47 0.09 0.00 18.89 [14.21,14.01,14.09] [ 14.4, 22.4, 25.4] [ 12.6, 20.7, 23.6]
8490041 3 1.44 1.42 47 0.10 -0.00 18.93 [14.16,14.01,14.15] [ 15.2, 22.5, 26.0] [ 13.4, 20.8, 24.2]
8490042 3 1.44 1.26 47 0.59 0.00 18.92 [14.17,14.06,14.10] [ 14.9, 22.8, 25.9] [ 13.2, 21.1, 24.2]
8490043 3 1.44 1.29 47 0.60 0.00 18.94 [14.27,14.06,14.19] [ 15.2, 22.7, 26.5] [ 13.1, 21.1, 24.8]
8490044 3 1.44 1.41 47 0.09 -0.00 18.96 [14.22,14.04,14.13] [ 15.4, 22.9, 26.6] [ 13.5, 21.2, 24.7]

IPAIRNAMESHIFTNEWSHIFTS/N NAMESHIFTNEWSHIFTS/N
0 08490043 0.598 0.000 246.66 08490044 0.085 0.512 243.08
1 08490042 0.589 0.009 245.95 08490040 0.088 0.509 238.95
2 08490039 0.587 0.010 243.63 08490041 0.098 0.500 236.15
3 08490038 0.592 0.006 238.67 08490037 0.000 0.598 227.92

Visit (multiple exposure and dither combined) spectra

FrameZeropointsMag plots Spatial mag deviation Spatial sky 16325A emission deviations (filled: sky, open: star) Spatial sky continuum emission Spatial sky telluric CO2 absorption deviations (filled: H < 10)
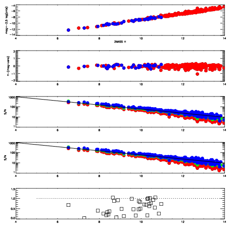
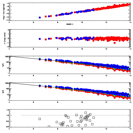
8490037
RedGreenBlue
z18.90
znorm14.72
sky 14.4 13.9 13.9
S/N 14.5 23.2 26.6
S/N(c) 12.7 21.3 25.4
SN(E/C) 0.63
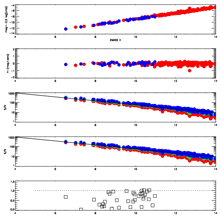
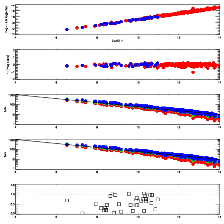
8490038
RedGreenBlue
z18.95
znorm14.77
sky 14.2 13.9 14.1
S/N 15.2 23.6 25.9
S/N(c) 13.5 21.8 24.2
SN(E/C) 0.62
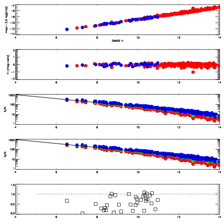
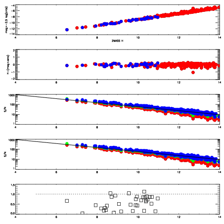
8490039
RedGreenBlue
z18.98
znorm14.80
sky 14.2 14.0 14.1
S/N 15.6 23.7 27.1
S/N(c) 13.6 21.9 25.3
SN(E/C) 0.63
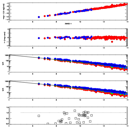
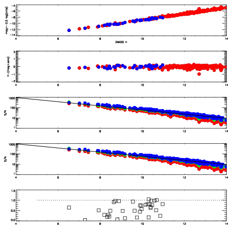
8490040
RedGreenBlue
z18.89
znorm14.71
sky 14.2 14.0 14.1
S/N 14.4 22.4 25.4
S/N(c) 12.6 20.7 23.6
SN(E/C) 0.71
8490041
RedGreenBlue
z18.93
znorm14.74
sky 14.2 14.0 14.1
S/N 15.2 22.5 26.0
S/N(c) 13.4 20.8 24.2
SN(E/C) 0.59
8490042
RedGreenBlue
z18.92
znorm14.74
sky 14.2 14.1 14.1
S/N 14.9 22.8 25.9
S/N(c) 13.2 21.1 24.2
SN(E/C) 0.66
8490043
RedGreenBlue
z18.94
znorm14.76
sky 14.3 14.1 14.2
S/N 15.2 22.7 26.5
S/N(c) 13.1 21.1 24.8
SN(E/C) 0.62
8490044
RedGreenBlue
z18.96
znorm14.78
sky 14.2 14.0 14.1
S/N 15.4 22.9 26.6
S/N(c) 13.5 21.2 24.7
SN(E/C) 0.64