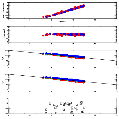
| Frame | Nreads | Zeropoints | Mag plots
| Spatial mag deviation
| Spatial sky 16325A emission deviations (filled: sky, open: star)
| Spatial sky continuum emission
| Spatial sky telluric CO2 absorption deviations (filled: H < 10)
|
| 8420070
| 47
| | Red | Green | Blue
| | z | | 18.88
| | znorm | | 14.70
| | sky | 14.6 | 14.2 | 14.1
| | S/N | 17.3 | 24.7 | 26.7
| | S/N(c) | 15.8 | 23.5 | 25.5
| | SN(E/C) | 0.84
|
|
|
|
|
|
|
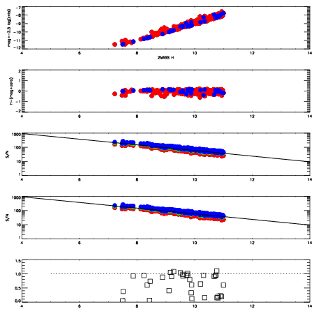
| 8420071
| 47
| | Red | Green | Blue
| | z | | 18.96
| | znorm | | 14.78
| | sky | 14.6 | 14.1 | 14.4
| | S/N | 17.8 | 25.8 | 27.6
| | S/N(c) | 16.5 | 24.7 | 26.5
| | SN(E/C) | 0.79
|
|
|
|
|
|
|
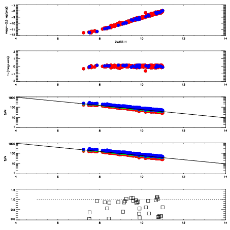
| 8420072
| 47
| | Red | Green | Blue
| | z | | 18.98
| | znorm | | 14.80
| | sky | 14.3 | 14.3 | 14.4
| | S/N | 18.2 | 26.3 | 28.2
| | S/N(c) | 16.7 | 25.0 | 26.8
| | SN(E/C) | 0.82
|
|
|
|
|
|
|
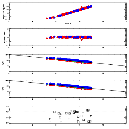
| 8420073
| 47
| | Red | Green | Blue
| | z | | 18.98
| | znorm | | 14.80
| | sky | 14.4 | 14.2 | 14.5
| | S/N | 18.2 | 26.3 | 28.4
| | S/N(c) | 16.9 | 25.2 | 27.0
| | SN(E/C) | 0.78
|
|
|
|
|
|
|
| 8420074
| 47
| | Red | Green | Blue
| | z | | 19.00
| | znorm | | 14.82
| | sky | 14.6 | 14.3 | 14.4
| | S/N | 18.4 | 26.6 | 28.5
| | S/N(c) | 17.2 | 25.3 | 27.3
| | SN(E/C) | 0.83
|
|
|
|
|
|
|
| 8420075
| 47
| | Red | Green | Blue
| | z | | 19.07
| | znorm | | 14.89
| | sky | 14.6 | 14.3 | 14.4
| | S/N | 19.2 | 27.5 | 29.5
| | S/N(c) | 18.0 | 26.4 | 28.4
| | SN(E/C) | 0.75
|
|
|
|
|
|
|
| 8420076
| 47
| | Red | Green | Blue
| | z | | 19.07
| | znorm | | 14.89
| | sky | 14.4 | 14.4 | 14.5
| | S/N | 19.2 | 27.8 | 29.6
| | S/N(c) | 18.1 | 26.7 | 28.5
| | SN(E/C) | 0.84
|
|
|
|
|
|
|
| 8420077
| 47
| | Red | Green | Blue
| | z | | 19.07
| | znorm | | 14.89
| | sky | 14.4 | 14.5 | 14.6
| | S/N | 19.3 | 27.8 | 29.7
| | S/N(c) | 18.1 | 26.5 | 28.4
| | SN(E/C) | 0.85
|
|
|
|
|
|
|