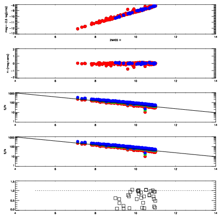
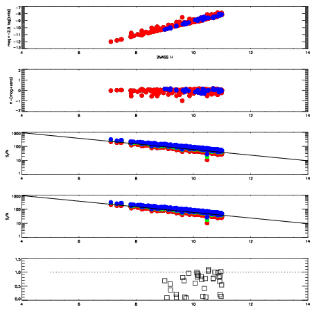
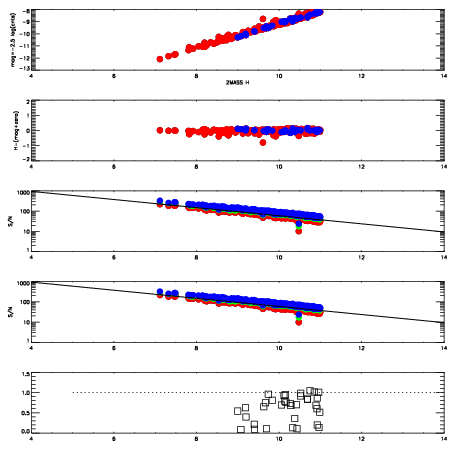
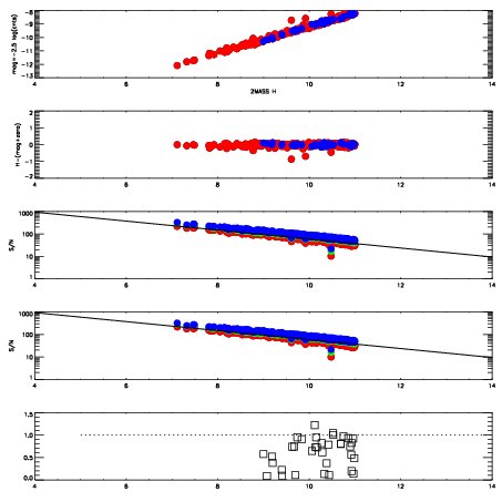
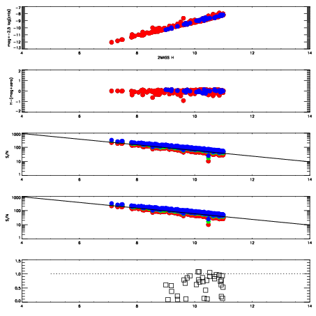
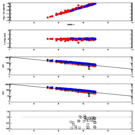
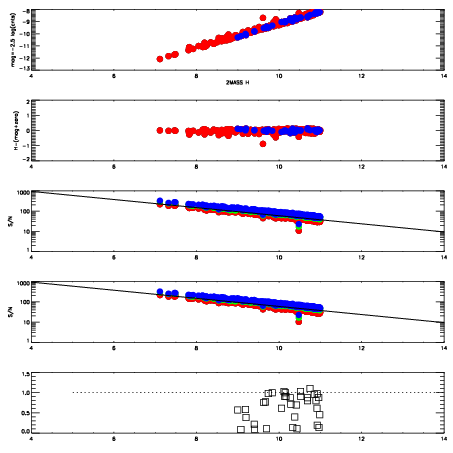
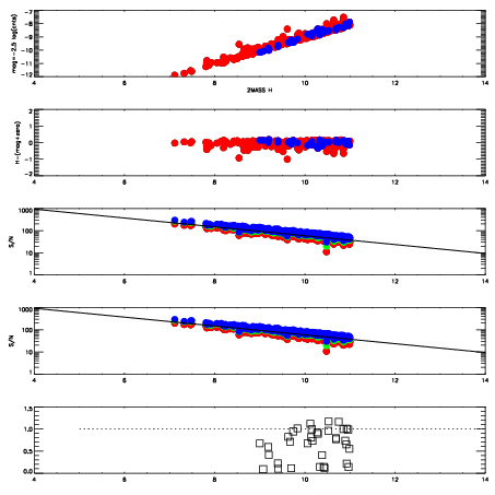
Frame | Nreads | Zeropoints | Mag plots
| Spatial mag deviation
| Spatial sky 16325A emission deviations (filled: sky, open: star)
| Spatial sky continuum emission
| Spatial sky telluric CO2 absorption deviations (filled: H < 10)
|
8180045
| 47
| | Red | Green | Blue
| z | | 19.02
| znorm | | 14.84
| sky | 14.5 | 14.1 | 14.1
| S/N | 17.9 | 26.1 | 27.7
| S/N(c) | 16.6 | 24.9 | 26.6
| SN(E/C) | 0.73
|
|
|
|
|
|
|
8180046
| 47
| | Red | Green | Blue
| z | | 19.13
| znorm | | 14.95
| sky | 14.4 | 14.2 | 14.2
| S/N | 18.8 | 27.1 | 29.4
| S/N(c) | 17.4 | 25.9 | 28.3
| SN(E/C) | 0.74
|
|
|
|
|
|
|
8180047
| 47
| | Red | Green | Blue
| z | | 19.16
| znorm | | 14.98
| sky | 14.3 | 14.2 | 14.2
| S/N | 19.1 | 27.6 | 29.8
| S/N(c) | 17.7 | 26.4 | 28.6
| SN(E/C) | 0.72
|
|
|
|
|
|
|
8180048
| 47
| | Red | Green | Blue
| z | | 19.17
| znorm | | 14.99
| sky | 14.4 | 14.2 | 14.3
| S/N | 19.1 | 27.7 | 30.1
| S/N(c) | 17.9 | 26.5 | 29.0
| SN(E/C) | 0.69
|
|
|
|
|
|
|
8180049
| 47
| | Red | Green | Blue
| z | | 19.18
| znorm | | 15.00
| sky | 14.4 | 14.2 | 14.2
| S/N | 19.2 | 27.8 | 30.7
| S/N(c) | 17.9 | 26.6 | 29.4
| SN(E/C) | 0.69
|
|
|
|
|
|
|
8180050
| 47
| | Red | Green | Blue
| z | | 19.19
| znorm | | 15.01
| sky | 14.3 | 14.2 | 14.2
| S/N | 19.5 | 28.4 | 30.6
| S/N(c) | 18.0 | 27.0 | 29.3
| SN(E/C) | 0.75
|
|
|
|
|
|
|
8180051
| 47
| | Red | Green | Blue
| z | | 19.19
| znorm | | 15.01
| sky | 14.3 | 14.2 | 14.2
| S/N | 19.4 | 28.4 | 31.1
| S/N(c) | 17.9 | 27.1 | 29.8
| SN(E/C) | 0.70
|
|
|
|
|
|
|
8180052
| 47
| | Red | Green | Blue
| z | | 19.20
| znorm | | 15.02
| sky | 14.3 | 14.2 | 14.2
| S/N | 19.5 | 28.5 | 31.2
| S/N(c) | 18.2 | 27.2 | 29.7
| SN(E/C) | 0.73
|
|
|
|
|
|
|