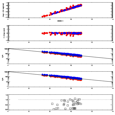
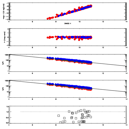
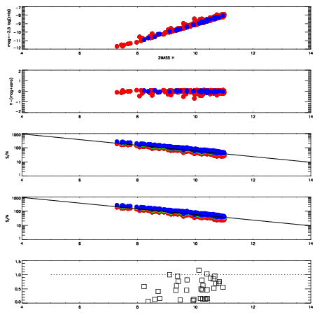
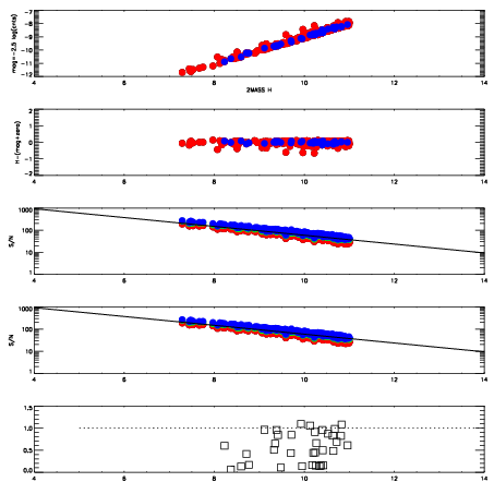
Left plots: red are targets, blue are telluric. Observed mags are calculated from median value of green chip. Zeropoint gives overall throughput: bigger number is more throughput.
First spatial plots: circles are objects, squares are tellurics, crosses are sky fibers. Colors give deviation of observed mag from expected 2MASS mag using the median zeropoint; red is brighter
Second spatial plots: circles are sky fibers. Colors give sky line brightness relative to plate median sky line brightness
FrameNreadsZeropointsMag plots Spatial mag deviation Spatial sky 16325A emission deviations (filled: sky, open: star) Spatial sky continuum emission Spatial sky telluric CO2 absorption deviations (filled: H < 10)
9040011 47
RedGreenBlue
z18.95
znorm14.77
sky 12.6 12.5 12.4
S/N 16.3 23.6 24.9
S/N(c) 15.2 22.2 23.7
SN(E/C) 0.58
9040012 47
RedGreenBlue
z19.03
znorm14.85
sky 12.7 12.6 12.6
S/N 16.8 24.7 26.0
S/N(c) 15.7 23.4 24.8
SN(E/C) 0.60
9040013 47
RedGreenBlue
z19.01
znorm14.83
sky 12.7 12.6 12.5
S/N 16.3 23.9 25.3
S/N(c) 15.4 22.6 24.3
SN(E/C) 0.54
9040014 47
RedGreenBlue
z19.06
znorm14.88
sky 12.8 12.8 12.7
S/N 17.0 24.7 26.5
S/N(c) 16.0 23.5 25.4
SN(E/C) 0.52