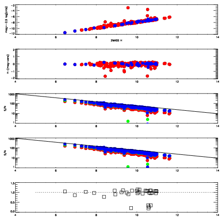
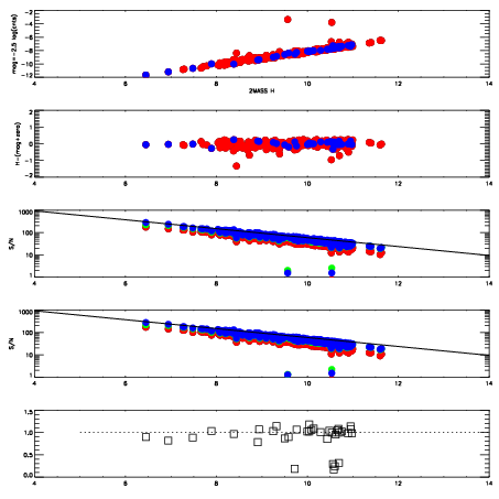
Left plots: red are targets, blue are telluric. Observed mags are calculated from median value of green chip. Zeropoint gives overall throughput: bigger number is more throughput.
First spatial plots: circles are objects, squares are tellurics, crosses are sky fibers. Colors give deviation of observed mag from expected 2MASS mag using the median zeropoint; red is brighter
Second spatial plots: circles are sky fibers. Colors give sky line brightness relative to plate median sky line brightness
FrameNreadsZeropointsMag plots Spatial mag deviation Spatial sky 16325A emission deviations (filled: sky, open: star) Spatial sky continuum emission Spatial sky telluric CO2 absorption deviations (filled: H < 10)
8280094 47
RedGreenBlue
z17.88
znorm13.70
sky 14.6 14.2 14.0
S/N 8.3 13.7 13.8
S/N(c) 7.1 11.9 12.4
SN(E/C) 1.00
8280095 47
RedGreenBlue
z17.11
znorm12.93
sky 14.3 14.4 14.4
S/N 3.9 7.9 7.7
S/N(c) 3.4 6.7 7.0
SN(E/C) 1.03
8280096 47
RedGreenBlue
z18.15
znorm13.97
sky 14.1 14.0 14.2
S/N 9.6 16.0 16.3
S/N(c) 8.2 14.0 14.7
SN(E/C) 1.00
8280097 47
RedGreenBlue
z18.00
znorm13.82
sky 13.5 13.5 13.4
S/N 8.2 13.7 14.0
S/N(c) 7.0 12.0 12.7
SN(E/C) 1.01