PLATE: 6892 MJD: 56403 FIELD: 007+07

FrameCartsec zseeingNreadsDitherPixshiftZerosky continuumS/NS/N(c)
8410070 4 1.79 1.84 47 0.00 0.00 18.78 [14.81,14.36,14.18] [ 16.2, 23.5, 24.9] [ 15.1, 22.3, 23.7]
8410071 4 1.76 1.95 47 0.48 -0.00 18.88 [14.58,14.33,14.46] [ 16.8, 24.3, 25.9] [ 15.7, 23.1, 24.7]
8410072 4 1.73 1.92 47 0.49 0.00 18.80 [14.66,14.38,14.43] [ 16.1, 23.5, 25.2] [ 15.1, 22.4, 23.9]
8410073 4 1.71 1.83 47 0.03 0.00 18.85 [14.46,14.33,14.41] [ 16.6, 24.2, 25.8] [ 15.4, 23.0, 24.5]
8410074 4 1.68 1.76 47 0.03 -0.00 18.74 [14.63,14.42,14.53] [ 15.7, 22.9, 24.4] [ 14.7, 21.8, 23.3]
8410075 4 1.67 1.93 47 0.49 0.00 18.79 [14.62,14.44,14.45] [ 16.4, 23.5, 25.0] [ 15.1, 22.4, 23.9]
8410076 4 1.65 1.87 47 0.48 -0.00 18.87 [14.48,14.47,14.44] [ 16.9, 24.4, 26.1] [ 15.8, 23.2, 24.8]
8410077 4 1.64 2.46 47 0.04 0.00 18.87 [14.42,14.46,14.48] [ 17.1, 24.4, 26.0] [ 15.8, 23.3, 24.8]

IPAIRNAMESHIFTNEWSHIFTS/N NAMESHIFTNEWSHIFTS/N
0 08410075 0.495 0.000 219.07 08410074 0.034 0.460 211.51
1 08410071 0.484 0.011 227.89 08410077 0.038 0.457 221.16
2 08410076 0.481 0.014 221.00 08410073 0.033 0.462 220.17
3 08410072 0.491 0.004 217.15 08410070 0.000 0.495 0.00

Visit (multiple exposure and dither combined) spectra

FrameZeropointsMag plots Spatial mag deviation Spatial sky 16325A emission deviations (filled: sky, open: star) Spatial sky continuum emission Spatial sky telluric CO2 absorption deviations (filled: H < 10)
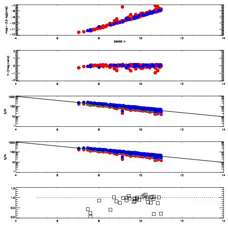
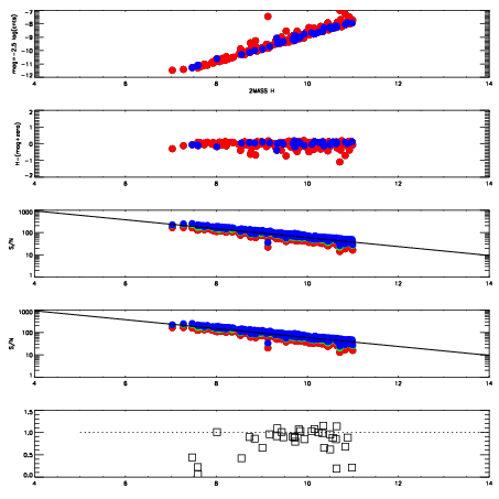
8410070
RedGreenBlue
z18.78
znorm14.60
sky 14.8 14.4 14.2
S/N 16.2 23.5 24.9
S/N(c) 15.1 22.3 23.7
SN(E/C) 0.92
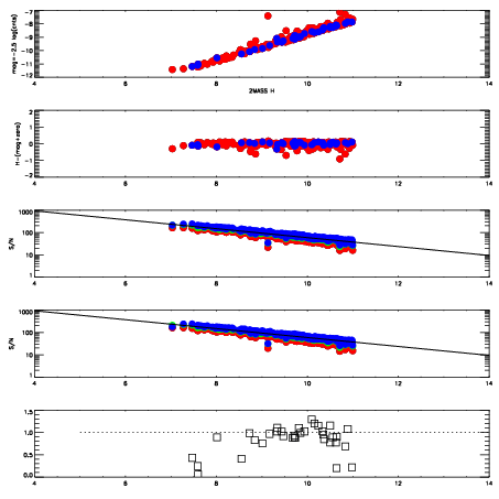
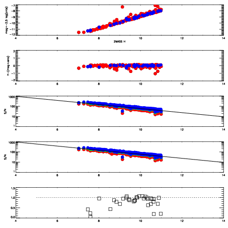
8410071
RedGreenBlue
z18.88
znorm14.70
sky 14.6 14.3 14.5
S/N 16.8 24.3 25.9
S/N(c) 15.7 23.1 24.7
SN(E/C) 0.89
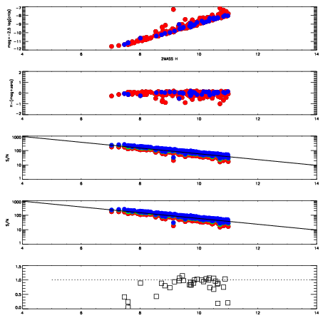
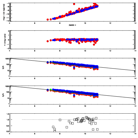
8410072
RedGreenBlue
z18.80
znorm14.62
sky 14.7 14.4 14.4
S/N 16.1 23.5 25.2
S/N(c) 15.1 22.4 23.9
SN(E/C) 0.89
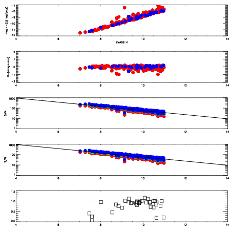
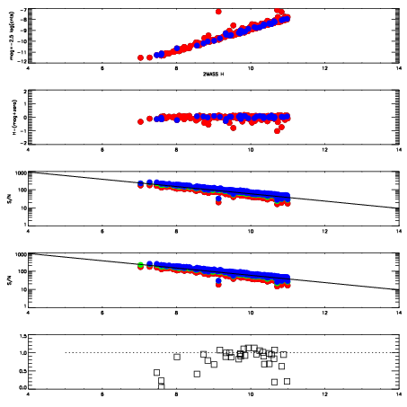
8410073
RedGreenBlue
z18.85
znorm14.67
sky 14.5 14.3 14.4
S/N 16.6 24.2 25.8
S/N(c) 15.4 23.0 24.5
SN(E/C) 0.92
8410074
RedGreenBlue
z18.74
znorm14.56
sky 14.6 14.4 14.5
S/N 15.7 22.9 24.4
S/N(c) 14.7 21.8 23.3
SN(E/C) 0.90
8410075
RedGreenBlue
z18.79
znorm14.61
sky 14.6 14.4 14.5
S/N 16.4 23.5 25.0
S/N(c) 15.1 22.4 23.9
SN(E/C) 0.94
8410076
RedGreenBlue
z18.87
znorm14.69
sky 14.5 14.5 14.4
S/N 16.9 24.4 26.1
S/N(c) 15.8 23.2 24.8
SN(E/C) 0.87
8410077
RedGreenBlue
z18.87
znorm14.69
sky 14.4 14.5 14.5
S/N 17.1 24.4 26.0
S/N(c) 15.8 23.3 24.8
SN(E/C) 0.90