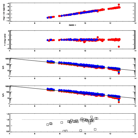
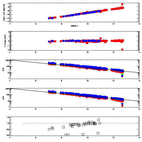
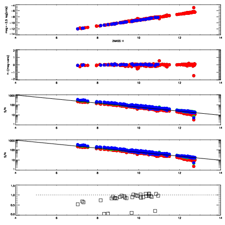
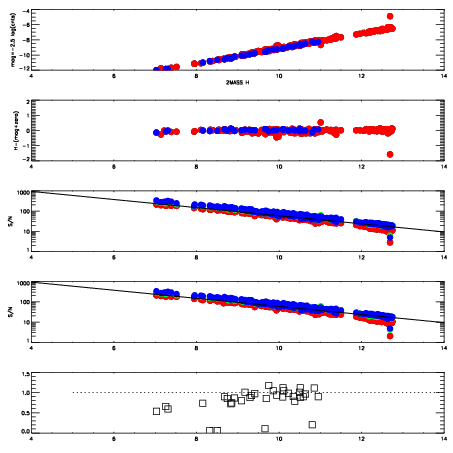
| Frame | Nreads | Zeropoints | Mag plots
| Spatial mag deviation
| Spatial sky 16325A emission deviations (filled: sky, open: star)
| Spatial sky continuum emission
| Spatial sky telluric CO2 absorption deviations (filled: H < 10)
|
| 9730011
| 47
| | Red | Green | Blue
| | z | | 19.19
| | znorm | | 15.01
| | sky | 14.0 | 13.9 | 13.7
| | S/N | 17.5 | 27.0 | 27.2
| | S/N(c) | 15.7 | 25.5 | 26.3
| | SN(E/C) | 0.87
|
|
|
|
|
|
|
| 9730012
| 47
| | Red | Green | Blue
| | z | | 19.11
| | znorm | | 14.93
| | sky | 14.1 | 14.0 | 13.9
| | S/N | 16.1 | 25.3 | 26.0
| | S/N(c) | 14.7 | 23.8 | 24.6
| | SN(E/C) | 0.90
|
|
|
|
|
|
|
| 9730013
| 47
| | Red | Green | Blue
| | z | | 19.12
| | znorm | | 14.94
| | sky | 14.2 | 14.0 | 13.9
| | S/N | 16.1 | 25.3 | 26.1
| | S/N(c) | 14.7 | 23.9 | 24.8
| | SN(E/C) | 0.89
|
|
|
|
|
|
|
| 9730014
| 47
| | Red | Green | Blue
| | z | | 19.22
| | znorm | | 15.04
| | sky | 14.3 | 14.1 | 14.0
| | S/N | 17.2 | 27.0 | 27.6
| | S/N(c) | 15.5 | 25.3 | 26.3
| | SN(E/C) | 0.89
|
|
|
|
|
|
|
| 9730015
| 47
| | Red | Green | Blue
| | z | | 19.18
| | znorm | | 15.00
| | sky | 14.1 | 14.1 | 14.0
| | S/N | 16.7 | 26.2 | 26.5
| | S/N(c) | 14.9 | 24.4 | 25.2
| | SN(E/C) | 0.87
|
|
|
|
|
|
|
| 9730016
| 47
| | Red | Green | Blue
| | z | | 19.15
| | znorm | | 14.97
| | sky | 14.2 | 14.1 | 14.0
| | S/N | 16.2 | 25.7 | 26.2
| | S/N(c) | 14.7 | 24.0 | 24.7
| | SN(E/C) | 0.89
|
|
|
|
|
|
|
| 9730017
| 47
| | Red | Green | Blue
| | z | | 19.22
| | znorm | | 15.04
| | sky | 14.2 | 14.1 | 13.9
| | S/N | 16.9 | 26.7 | 27.0
| | S/N(c) | 15.4 | 24.9 | 25.7
| | SN(E/C) | 0.91
|
|
|
|
|
|
|
| 9730018
| 47
| | Red | Green | Blue
| | z | | 19.22
| | znorm | | 15.04
| | sky | 14.1 | 14.1 | 14.0
| | S/N | 16.9 | 26.7 | 26.9
| | S/N(c) | 15.3 | 24.9 | 25.5
| | SN(E/C) | 0.87
|
|
|
|
|
|
|