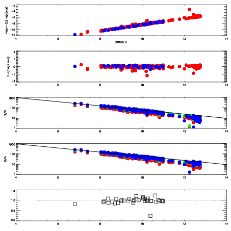
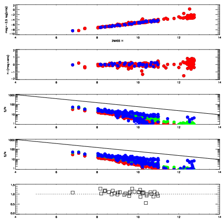
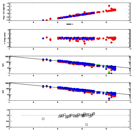
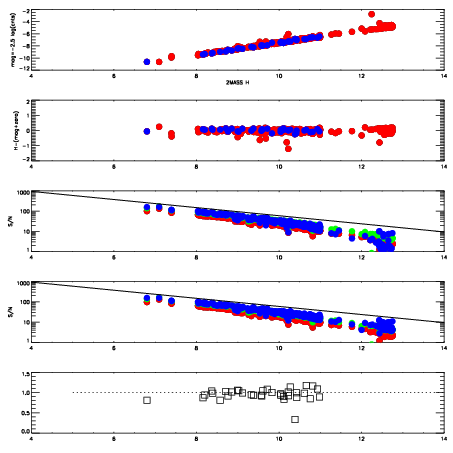
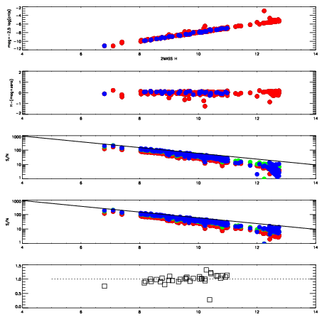
| Frame | Nreads | Zeropoints | Mag plots
| Spatial mag deviation
| Spatial sky 16325A emission deviations (filled: sky, open: star)
| Spatial sky continuum emission
| Spatial sky telluric CO2 absorption deviations (filled: H < 10)
|
| 8730059
| 47
| | Red | Green | Blue
| | z | | 18.68
| | znorm | | 14.50
| | sky | 14.0 | 13.7 | 13.1
| | S/N | 13.5 | 19.3 | 13.1
| | S/N(c) | 12.0 | 17.6 | 15.4
| | SN(E/C) | 0.98
|
|
|
|
|
|
|
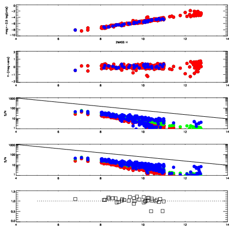
| 8730060
| 47
| | Red | Green | Blue
| | z | | 18.42
| | znorm | | 14.24
| | sky | 13.6 | 13.5 | 13.1
| | S/N | 11.4 | 16.5 | 11.2
| | S/N(c) | 10.1 | 15.0 | 13.1
| | SN(E/C) | 0.98
|
|
|
|
|
|
|
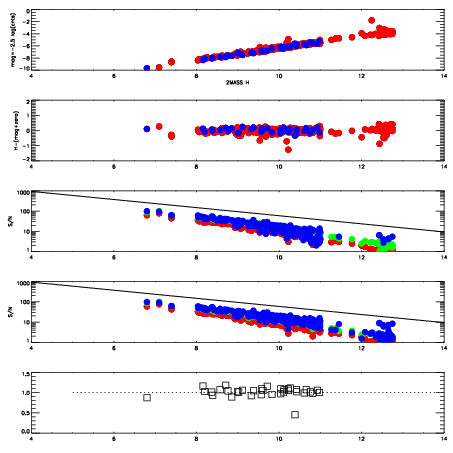
| 8730061
| 47
| | Red | Green | Blue
| | z | | 17.95
| | znorm | | 13.77
| | sky | 13.4 | 13.4 | 13.1
| | S/N | 7.9 | 12.0 | 6.9
| | S/N(c) | 7.0 | 10.7 | 9.1
| | SN(E/C) | 1.00
|
|
|
|
|
|
|
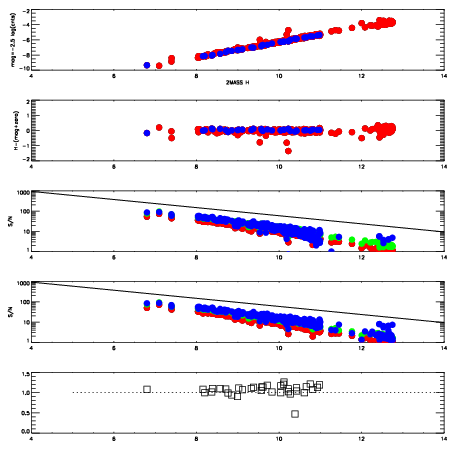
| 8730062
| 47
| | Red | Green | Blue
| | z | | 17.49
| | znorm | | 13.31
| | sky | 13.3 | 13.3 | 13.0
| | S/N | 5.3 | 8.3 | 3.6
| | S/N(c) | 4.8 | 7.4 | 6.3
| | SN(E/C) | 0.97
|
|
|
|
|
|
|
| 8730063
| 47
| | Red | Green | Blue
| | z | | 16.37
| | znorm | | 12.18
| | sky | 13.2 | 13.2 | 13.0
| | S/N | 2.0 | 3.4 | -1.1
| | S/N(c) | 1.9 | 3.1 | 2.5
| | SN(E/C) | 1.02
|
|
|
|
|
|
|
| 8730064
| 47
| | Red | Green | Blue
| | z | | 15.25
| | znorm | | 11.07
| | sky | 13.2 | 13.3 | 13.1
| | S/N | 0.9 | 1.4 | -2.7
| | S/N(c) | 1.0 | 1.3 | 0.8
| | SN(E/C) | 1.08
|
|
|
|
|
|
|
| 8730065
| 47
| | Red | Green | Blue
| | z | | 15.36
| | znorm | | 11.17
| | sky | 13.2 | 13.3 | 13.1
| | S/N | 0.7 | 1.3 | -2.4
| | S/N(c) | 0.7 | 1.3 | 0.9
| | SN(E/C) | 1.05
|
|
|
|
|
|
|
| 8730066
| 47
| | Red | Green | Blue
| | z | | 16.30
| | znorm | | 12.12
| | sky | 13.4 | 13.4 | 13.2
| | S/N | 2.0 | 3.2 | -0.7
| | S/N(c) | 1.7 | 2.9 | 2.3
| | SN(E/C) | 1.09
|
|
|
|
|
|
|