PLATE: 6899 MJD: 56415 FIELD: 020-02

FrameCartsec zseeingNreadsDitherPixshiftZerosky continuumS/NS/N(c)
8530074 5 1.42 1.52 47 0.00 0.00 19.03 [14.69,14.17,14.34] [ 17.9, 26.1, 28.7] [ 16.3, 24.3, 27.3]
8530075 5 1.42 1.35 47 0.43 -0.00 19.06 [14.65,14.24,14.50] [ 18.4, 26.7, 29.3] [ 16.7, 24.7, 27.8]
8530076 5 1.42 1.36 47 0.43 0.00 19.05 [14.57,14.24,14.58] [ 18.1, 26.6, 29.2] [ 16.4, 24.7, 27.6]
8530077 5 1.43 1.39 47 0.01 -0.00 19.01 [14.41,14.25,14.51] [ 17.7, 26.1, 28.6] [ 16.1, 24.2, 27.1]
8530078 5 1.44 1.32 14 13.18 [14.38,14.38,14.49] [ -0.1, 0.2, 0.1] [ 0.0, 0.0, 0.0]
8530079 5 1.44 1.32 14 12.48 [15.72,14.13,14.26] [ 0.1, 0.1, -0.2] [ 0.0, 0.0, 0.0]
8530080 5 1.45 1.32 14 12.23 [15.02,14.02,14.07] [ -0.1, 0.1, 0.1] [ 0.0, 0.0, 0.0]
8530081 5 1.45 1.32 14 12.03 [14.12,13.57,13.71] [ -0.1, 0.0, -0.2] [ 0.0, 0.0, 0.0]

IPAIRNAMESHIFTNEWSHIFTS/N NAMESHIFTNEWSHIFTS/N
0 08530075 0.432 0.000 251.91 08530077 0.006 0.427 247.36
1 08530076 0.432 0.001 252.05 08530074 0.000 0.432 249.10

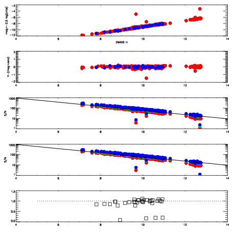
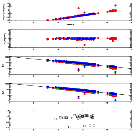
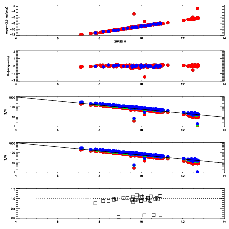
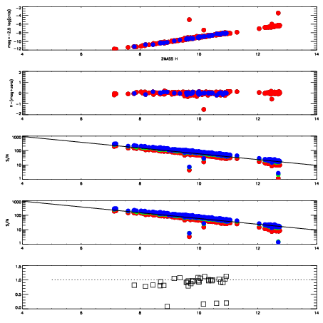
Visit (multiple exposure and dither combined) spectra

FrameZeropointsMag plots Spatial mag deviation Spatial sky 16325A emission deviations (filled: sky, open: star) Spatial sky continuum emission Spatial sky telluric CO2 absorption deviations (filled: H < 10)
8530074
RedGreenBlue
z19.03
znorm14.85
sky 14.7 14.2 14.3
S/N 17.9 26.1 28.7
S/N(c) 16.3 24.3 27.3
SN(E/C) 0.96
8530075
RedGreenBlue
z19.06
znorm14.88
sky 14.7 14.2 14.5
S/N 18.4 26.7 29.3
S/N(c) 16.7 24.7 27.8
SN(E/C) 0.98
8530076
RedGreenBlue
z19.05
znorm14.87
sky 14.6 14.2 14.6
S/N 18.1 26.6 29.2
S/N(c) 16.4 24.7 27.6
SN(E/C) 0.93
8530077
RedGreenBlue
z19.01
znorm14.83
sky 14.4 14.3 14.5
S/N 17.7 26.1 28.6
S/N(c) 16.1 24.2 27.1
SN(E/C) 0.94
8530078
RedGreenBlue
z13.18
znorm10.31
sky 14.4 14.4 14.5
S/N -0.1 0.2 0.1
S/N(c) 0.0 0.0 0.0
SN(E/C) 1.61
8530079
RedGreenBlue
z12.48
znorm 9.61
sky 15.7 14.1 14.3
S/N 0.1 0.1 -0.2
S/N(c) 0.0 0.0 0.0
SN(E/C) 3.14
8530080
RedGreenBlue
z12.23
znorm 9.37
sky 15.0 14.0 14.1
S/N -0.1 0.1 0.1
S/N(c) 0.0 0.0 0.0
SN(E/C) 4.44
8530081
RedGreenBlue
z12.03
znorm 9.16
sky 14.1 13.6 13.7
S/N -0.1 0.0 -0.2
S/N(c) 0.0 0.0 0.0
SN(E/C) 5.58