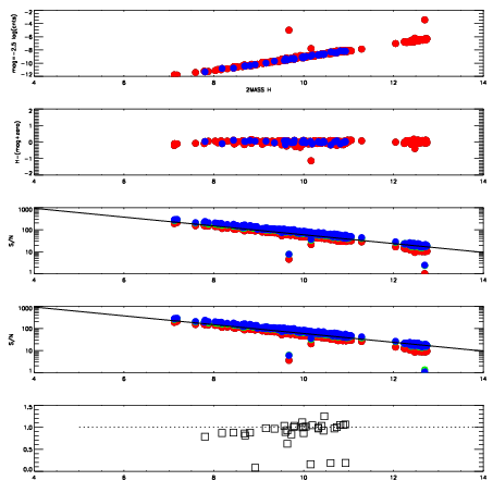
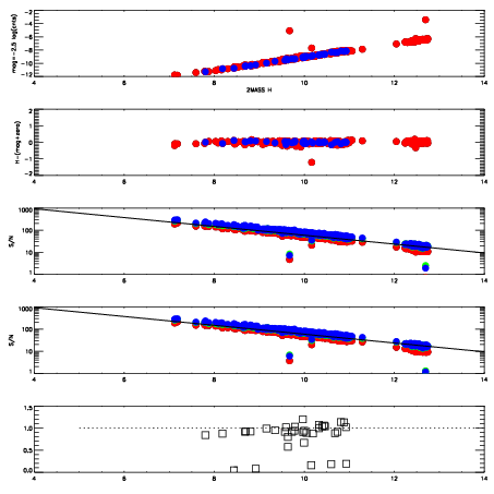
Left plots: red are targets, blue are telluric. Observed mags are calculated from median value of green chip. Zeropoint gives overall throughput: bigger number is more throughput.
First spatial plots: circles are objects, squares are tellurics, crosses are sky fibers. Colors give deviation of observed mag from expected 2MASS mag using the median zeropoint; red is brighter
Second spatial plots: circles are sky fibers. Colors give sky line brightness relative to plate median sky line brightness
FrameNreadsZeropointsMag plots Spatial mag deviation Spatial sky 16325A emission deviations (filled: sky, open: star) Spatial sky continuum emission Spatial sky telluric CO2 absorption deviations (filled: H < 10)
8590011 47
RedGreenBlue
z19.07
znorm14.89
sky 14.4 14.1 14.2
S/N 18.8 26.5 29.2
S/N(c) 17.2 24.7 28.1
SN(E/C) 0.92
8590012 47
RedGreenBlue
z19.08
znorm14.90
sky 14.5 14.3 14.7
S/N 18.4 26.3 29.1
S/N(c) 16.8 24.4 27.7
SN(E/C) 0.97