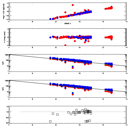
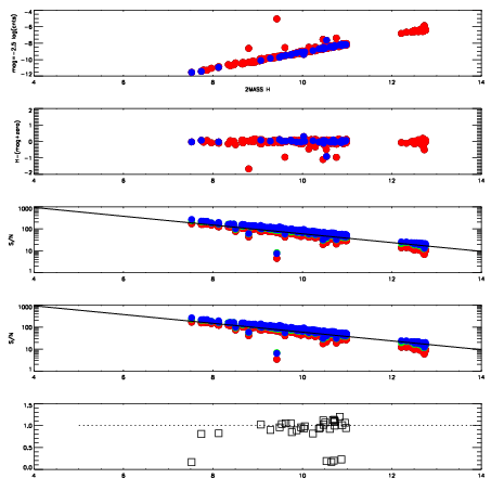
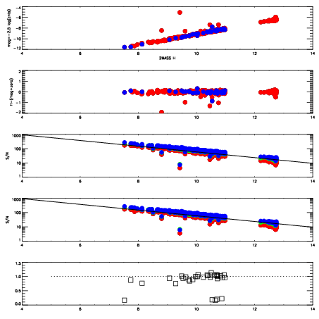
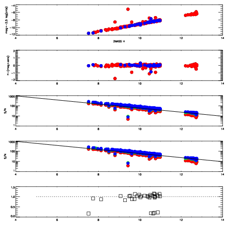
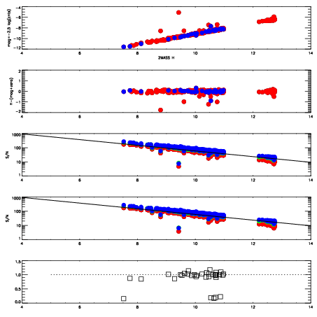
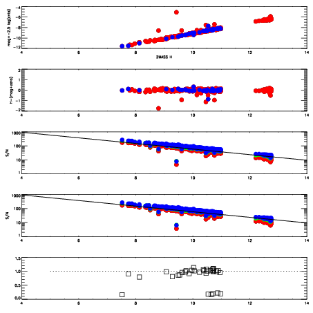
| Frame | Nreads | Zeropoints | Mag plots
| Spatial mag deviation
| Spatial sky 16325A emission deviations (filled: sky, open: star)
| Spatial sky continuum emission
| Spatial sky telluric CO2 absorption deviations (filled: H < 10)
|
| 8420081
| 47
| | Red | Green | Blue
| | z | | 19.13
| | znorm | | 14.95
| | sky | 14.4 | 14.2 | 14.4
| | S/N | 19.7 | 27.8 | 29.7
| | S/N(c) | 18.5 | 26.6 | 28.8
| | SN(E/C) | 0.95
|
|
|
|
|
|
|
| 8420082
| 47
| | Red | Green | Blue
| | z | | 19.14
| | znorm | | 14.96
| | sky | 14.5 | 14.3 | 14.6
| | S/N | 19.8 | 28.1 | 30.1
| | S/N(c) | 18.7 | 26.9 | 29.0
| | SN(E/C) | 0.99
|
|
|
|
|
|
|
| 8420083
| 47
| | Red | Green | Blue
| | z | | 19.15
| | znorm | | 14.97
| | sky | 14.5 | 14.3 | 14.6
| | S/N | 19.8 | 28.1 | 30.3
| | S/N(c) | 18.7 | 27.0 | 29.2
| | SN(E/C) | 0.97
|
|
|
|
|
|
|
| 8420084
| 47
| | Red | Green | Blue
| | z | | 19.14
| | znorm | | 14.96
| | sky | 14.6 | 14.5 | 14.7
| | S/N | 19.8 | 28.1 | 30.3
| | S/N(c) | 18.5 | 27.0 | 29.2
| | SN(E/C) | 0.97
|
|
|
|
|
|
|
| 8420085
| 47
| | Red | Green | Blue
| | z | | 19.13
| | znorm | | 14.94
| | sky | 14.6 | 14.4 | 14.6
| | S/N | 19.6 | 27.9 | 30.0
| | S/N(c) | 18.4 | 26.8 | 29.1
| | SN(E/C) | 0.97
|
|
|
|
|
|
|
| 8420086
| 47
| | Red | Green | Blue
| | z | | 19.11
| | znorm | | 14.93
| | sky | 14.6 | 14.4 | 14.7
| | S/N | 19.4 | 27.7 | 29.8
| | S/N(c) | 18.2 | 26.6 | 28.7
| | SN(E/C) | 0.98
|
|
|
|
|
|
|
| 8420087
| 47
| | Red | Green | Blue
| | z | | 19.13
| | znorm | | 14.95
| | sky | 14.4 | 14.4 | 14.7
| | S/N | 19.6 | 28.1 | 29.9
| | S/N(c) | 18.4 | 26.9 | 28.9
| | SN(E/C) | 0.99
|
|
|
|
|
|
|
| 8420088
| 47
| | Red | Green | Blue
| | z | | 19.06
| | znorm | | 14.88
| | sky | 14.5 | 14.4 | 14.7
| | S/N | 19.1 | 27.2 | 29.0
| | S/N(c) | 17.9 | 26.2 | 27.8
| | SN(E/C) | 1.02
|
|
|
|
|
|
|
| 8420089
| 47
| | Red | Green | Blue
| | z | | 19.10
| | znorm | | 14.92
| | sky | 14.4 | 14.5 | 14.6
| | S/N | 19.6 | 27.8 | 29.6
| | S/N(c) | 18.4 | 26.6 | 28.5
| | SN(E/C) | 1.00
|
|
|
|
|
|
|
| 8420090
| 47
| | Red | Green | Blue
| | z | | 19.10
| | znorm | | 14.92
| | sky | 14.5 | 14.5 | 14.6
| | S/N | 19.6 | 27.8 | 29.4
| | S/N(c) | 18.3 | 26.7 | 28.4
| | SN(E/C) | 0.96
|
|
|
|
|
|
|